会员
周边
新闻
博问
闪存
众包
赞助商
Chat2DB
所有博客
当前博客
我的博客
我的园子
账号设置
会员中心
简洁模式
...
退出登录
注册
登录
ggnp
博客园
首页
新随笔
联系
订阅
管理
CODEFORCES 706 div2 C题
题意:下次一定
思路:比赛的时候没想太多,直觉告诉我,X与Y的每个值的绝对值从小到大连起来就是最小值(结果忘记加绝对值而过不了案例,最后没写成。。。。。
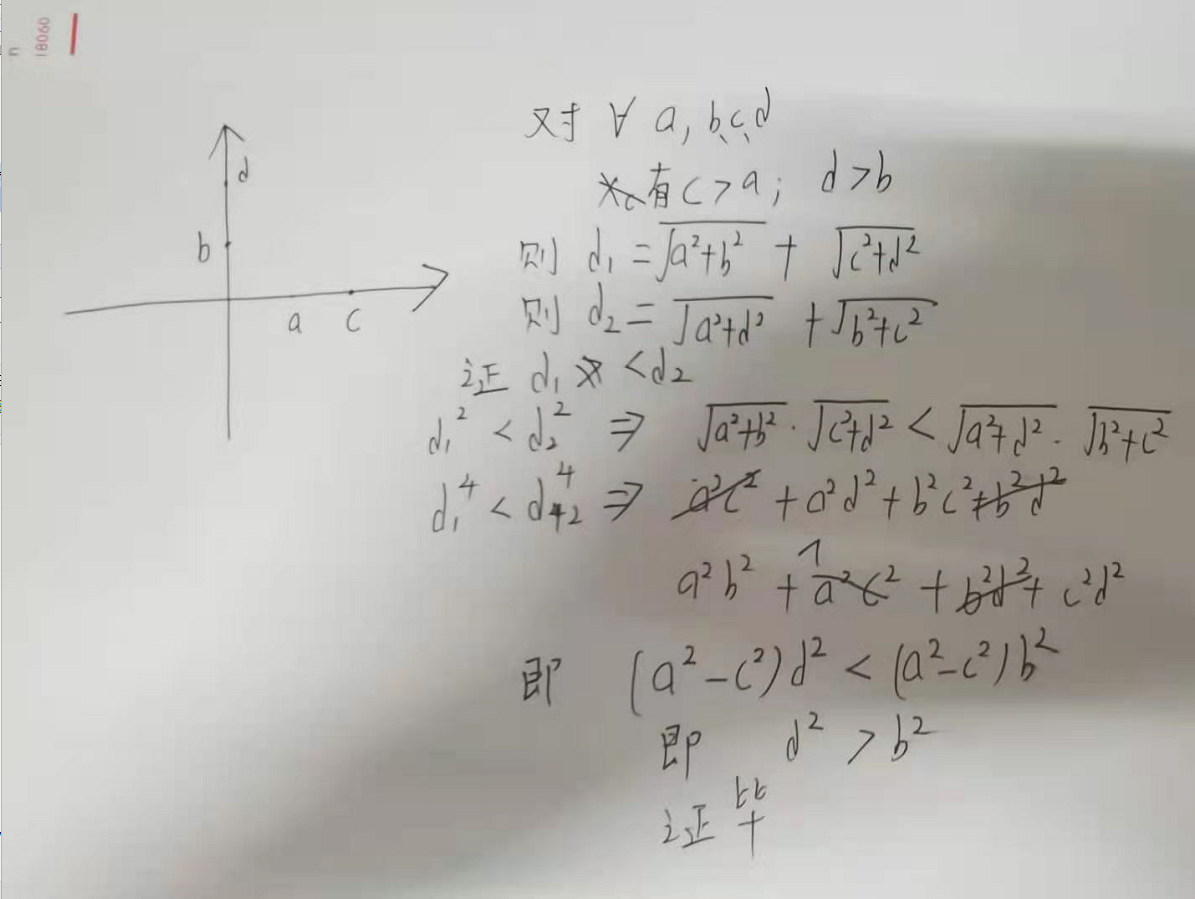
证明如下;
代码:待补
posted @
2021-03-15 22:05
DONDONDA
阅读(
14
) 评论(
0
)
收藏
举报
刷新页面
返回顶部
公告