leetcode-310.最小高度树
广度优先搜索(bfs)
题目详情
树是一个无向图,其中任何两个顶点只通过一条路径连接。 换句话说,一个任何没有简单环路的连通图都是一棵树。
给你一棵包含 n 个节点的树,标记为 0 到 n - 1。给定数字 n 和一个有 n - 1 条无向边的 edges 列表(每一个边都是一对标签),其中 edges[i] = [ai, bi] 表示树中节点 ai 和bi之间存在一条无向边。
可选择树中任何一个节点作为根。当选择节点 x 作为根节点时,设结果树的高度为 h 。在所有可能的树中,具有最小高度的树(即,min(h))被称为 最小高度树 。
请你找到所有的 最小高度树 并按 任意顺序 返回它们的根节点标签列表。
树的 高度 是指根节点和叶子节点之间最长向下路径上边的数量。
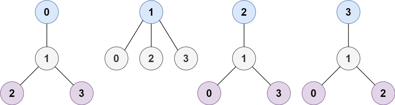
示例1:

输入:n = 4, edges = [[1,0],[1,2],[1,3]]
输出:[1]
解释:如图所示,当根是标签为 1 的节点时,树的高度是 1 ,这是唯一的最小高度树。

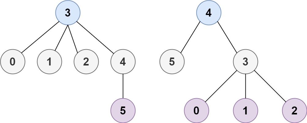
示例2:
输入:n = 6, edges = [[3,0],[3,1],[3,2],[3,4],[5,4]]
输出:[3,4]
我的代码:
思路:
寻找最短树根,可以先找到叶子节点,然后将叶子节点除去,直到不能再去除,即得到最后的节点就是最短树根
因为一棵树如果以叶子节点为根,叶子节点处于外边缘,会形成一棵 …叶子->根->叶子… 的树
显然比 根->叶子… 类的树要高,所以我们除叶找最短树根
class Solution
{
public:
vector<int> findMinHeightTrees(int n, vector<vector<int>>& edges)
{
vector<int> ans;
if (n == 1)
{
ans.push_back(0);
return ans;
}
vector<int> degree(n, 0);
vector<vector<int>> tree(n);
for(int i = 0; i < edges.size(); ++i)
{
//degree存入每个节点的度
++degree[edges[i][0]];
++degree[edges[i][1]];
//构建树(tree存储的是每个节点相连的其他节点)
tree[edges[i][0]].push_back(edges[i][1]);
tree[edges[i][1]].push_back(edges[i][0]);
}
queue<int> q;
//利用q存储所有初始的叶子节点
for (int i = 0; i < n; ++i)
{
if (degree[i] == 1)
{
q.push(i);
}
}
while (!q.empty())
{
int size = q.size();
ans.clear();
//将每轮的叶子节点依次存入ans中,并在下一轮时clear(),最后就会留下答案节点
for (int i = 0; i < size; ++i)
{
int cur = q.front();
q.pop();
ans.push_back(cur);
//将除去的叶子节点删去
--degree[cur];
//bfs 把当前节点的相邻节点都拿出来,
//把它们的出度都减1,因为当前节点已经不存在了
//所以它的相邻节点们就有可能变成叶子节点
for (auto node: tree[cur])
{
--degree[node];
//如果还有叶子,就继续填入q从而继续循环删叶
if(degree[node] == 1)
{
q.push(node);
}
}
}
}
return ans; //最终的ans
}
};
涉及知识点:
1.深度优先搜索(dfs)
深度优先搜索(depth-first seach,DFS)在搜索到一个新的节点时,立即对该新节点进行遍历;因此遍历需要用先入后出的栈来实现,也可以通过与栈等价的递归来实现。对于树结构而言,由于总是对新节点调用遍历,因此看起来是向着“深”的方向前进。
2.广度优先搜索(bfs)
广度优先搜索(breadth-first search,BFS)不同与深度优先搜索,它是一层层进行遍历的,因此需要用先入先出的队列而非先入后出的栈进行遍历。由于是按层次进行遍历,广度优先搜索时按照“广”的方向进行遍历的,也常常用来处理最短路径等问题。

浙公网安备 33010602011771号