PBRT v2中,隐士表面、三角形的dpdu dpdv dndu dndv 思考
什么是dpdu dpdv
首先是向量,AI一波:

球的dpdu dpdv
球的dpdu

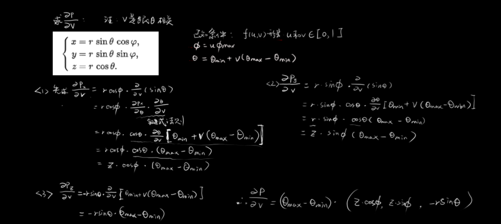
球的dpdv

三角形:
看PBRT书,突然发现说三个点dpd dpdv是相等的。 虽然是个平面,确实相等,但是有没有一种可能证明出来。
于是我借助AI,证明了一番。

有了上面的结论 才能有PBRT下一步结论:

Modern C++ 创造非凡 . 改变世界 一起铲除毒瘤KPI
什么是dpdu dpdv
首先是向量,AI一波:

球的dpdu dpdv
球的dpdu

球的dpdv

三角形:
看PBRT书,突然发现说三个点dpd dpdv是相等的。 虽然是个平面,确实相等,但是有没有一种可能证明出来。
于是我借助AI,证明了一番。

有了上面的结论 才能有PBRT下一步结论:
