极值点的充要条件

一阶导为0不是极值点的充分条件,一阶导为0且二阶导非负是极小值的充要条件

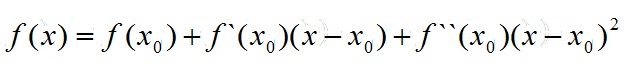
这是为什么呢?以一元函数的泰勒展开为例:

如果满足:一阶导为0,二阶导非负,从上式子可知,f(x) 一定不比 f(x0) 小,所以 f(x0)是极小值。

 

参考:https://cloud.tencent.com/developer/article/1380087

posted @ 2019-03-22 17:35  光彩照人  阅读(3198)  评论(0)    收藏  举报