实现求平方根sqrt(x)
一、二分查找法
对于一个非负数n,它的平方根不会小于大于(n/2+1)。在[0, n/2+1]这个范围内可以进行二分搜索,求出n的平方根。
int sqrt(int x) { 2 long long i = 0; 3 long long j = x / 2 + 1; 4 while (i <= j) 5 { 6 long long mid = (i + j) / 2; 7 long long sq = mid * mid; 8 if (sq == x) return mid; 9 else if (sq < x) i = mid + 1; 10 else j = mid - 1; 11 } 12 return j;
二、牛顿迭代法

牛顿迭代法原理如下:
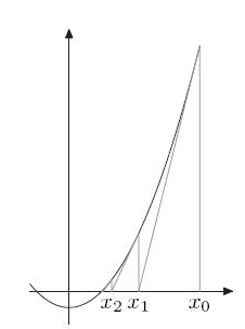
计算x2 = A的解,令f(x)=x2-A,相当于求解f(x)=0的解,如左图所示
首先找到一个x0初始点,如果x0不是最优解,那求出经过点x0的切线,更新x0为x1,x1就是该切线与x轴的交点。
继续迭代,x会向最优解不停的逼近。
收敛条件有两种:1)是直接计算f(xi)的值判断是否为0;2)判断前后两个解xi和xi-1是否无限接近。
代码如下:
def sqrt(x): if x==0: return 0 last=0.0 res=1.0 while last!=res:#如果找到了根值,res就不再变化了,例如(3+9/3)/2=3,所以以此为收敛结束条件 last=res res=(res+x/res)/2 return res
参考:https://www.cnblogs.com/qlky/p/7735145.html

浙公网安备 33010602011771号