会员
众包
新闻
博问
闪存
赞助商
HarmonyOS
Chat2DB
所有博客
当前博客
我的博客
我的园子
账号设置
会员中心
简洁模式
...
退出登录
注册
登录
光彩照人
每一次挫折都是一次蜕变,挫折越大,蜕变越彻底!
博客园
首页
新随笔
联系
订阅
管理
两个重要极限公式
一、第一个
二、第二个
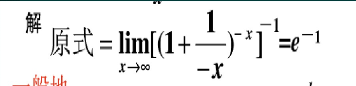
注意:从上面样例可以看出,求解过程一定要先严格转换成公式的形式才行,不能根据自己理解去猜测。
posted @
2019-01-04 11:42
光彩照人
阅读(
46430
) 评论(
0
)
收藏
举报
刷新页面
返回顶部
公告