复杂的分析欧拉身份

首先,介绍一下泰勒公式,其实质是利用点附近的一个功能,而过去的衍生物似点的功能值。


接下来求三角函数在x=0处的泰勒公式(sin(0)=0,cos(0)=1)

Sin(x)’

Sin(x)’’

Sin(x)’’’

Sin(x)’’’’

Cos(x)’

Cos(x)’’

Cos(x)’’’

Cos(x)’’’’

Cos(x)

-Sin(x)

-Cos(x)

Sin(x)

-Sin(x)

-Cos(x)

Sin(x)

Cos(x)

1

0

-1

0

0

-1

0

1

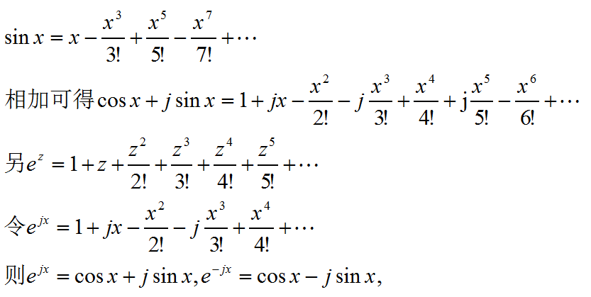
则能够知道下面结论。即泰勒恒等式


版权声明:本文博主原创文章,博客,未经同意,不得转载。

posted on 2015-08-25 19:34  gcczhongduan  阅读(191)  评论(0)    收藏  举报