详细介绍:采用Flask框架的不动产租赁业务管理系统--毕设附源码68285
摘 要
本论文设计并实现了一个基于Flask框架的不动产租赁业务管理系统,旨在为租客、房东和管理员提供高效、安全的房产租赁服务。系统采用Python编程语言和MySQL数据库,启用Flask作为后端开发框架,具备高度的可扩展性和易维护性。
系统主要分为三个用户角色:租客、房东和管理员,每个角色有不同的权限和操作模块。租客可能实现注册、登录、浏览房源信息、查看租赁记录与合同、管理个人账户等效果;房东可以管理自己的房源、查看租赁订单、确认订单并处理评论;管理员则具备后台管理能力,包括用户管理、房屋信息管理、租赁记录管理、合同管理、通知公告管理等。
通过Flask框架的轻量化特点和Python强大的开发能力,本平台不仅献出了灵活的房产租赁管理特性,还具备了较强的扩展性,能够适应未来不断变化的业务需求。该系统为不动产租赁行业给予了一种高效、便捷的解决方案,具有较高的实用价值。
关键词:Flask框架;不动产租赁;系统设计;Python;MySQL;用户管理;房源管理;租赁合同
Abstract
This paper designs and implements a real estate leasing business management system based on the Flask framework, aiming to provide efficient and secure real estate leasing services for tenants, landlords, and administrators. The system adopts Python programming language and MySQL database, and uses Flask as the backend development framework, which has high scalability and maintainability.
The system is mainly divided into three user roles: tenant, landlord, and administrator, each with different permissions and operation modules. Tenants can register, log in, browse property information, view rental records and contracts, manage personal accounts, and other functions; Landlords can manage their own properties, view rental orders, confirm orders, and process reviews; Administrators have backend management functions, including user management, property information management, lease record management, contract management, notification and announcement management, etc.
Through the lightweight features of the Flask framework and the powerful development capabilities of Python, this system not only provides flexible real estate rental management functions, but also has strong scalability to adapt to the constantly changing business needs in the future. This system provides an efficient and convenient solution for the real estate leasing industry, with high practical value.
Keywords: Flask framework; Real estate leasing; System design; Python;MySQL; User management; Property management; Lease contract
目 录
第1章绪论
1.1研究背景与意义
不动产租赁行业随着社会经济的发展和城市化进程的加速,逐渐成为了一个重要的行业领域。随着互联网技术的不断进步,传统的租赁管理方式已经无法满足市场的需求,亟需一种更加高效、智能、便捷的管理系统。因此,开发一个集成了租客、房东和管理员功能的系统,允许极大地提升不动产租赁管理的效率与透明度,同时为用户给予更为便利的操作平台。
传统的不动产租赁业务管理主要依赖人工操作,管理效率低且易出现信息泄露和错误。随着互联网的普及,尤其是移动互联网的兴起,租赁双方对信息化和自动化管理的需求日益增加。利用现代技术手段,尤其是Web开发框架,如Flask框架,能够有效地提升整个租赁流程的自动化与智能化水平,避免了传统管理中可能出现的许多问题。
基于Flask框架的系统开发具有轻量、灵活的特点,能够快速响应业务需求的变化,并且帮助跨平台的运行。Python作为后端编程语言,具有清晰简洁的语法和强大的开发生态系统,能够有效提升开发效率并确保系统的可维护性。MySQL作为数据库管理系统,具有高效的数据存储与查询能力,在保障数据一致性的同时,也能应对大规模数据的高效存储与检索。
系统不仅能够有效地达成信息管理、租赁合同、租赁记录、房源展示等基本功能,还能通过完善的后台管理模块,对租赁过程进行精细化管理。为租客和房东提供了清晰的业务流程和实时的交互平台,有用促进了租赁市场的健康发展。同时,管理员通过后台特性进行系统数据监控和维护,确保平台的稳定运行。
通过制作和实现这一系统,能够满足现代不动产租赁市场对高效、透明、安全管理的需求,为租赁双方给出更加便捷的服务,促进了租赁市场的规范化发展。此外,此种信息化管理平台不仅能提高不动产租赁行业的服务水平,还能推动整个行业的现代化进程,有着深远的意义和广阔的应用前景。
1.2国内外研究现状
随着信息技术的迅猛发展,传统的不动产租赁管理方式逐渐暴露出诸多问题,包括信息滞后、沟通不畅、内容丢失和处理效率低等。这使得开发基于Web技术的租赁管理平台成为一种迫切需求。国内外学者和开发者在不动产租赁管理系统的研究和构建方面已取得了诸多成果。
在国外,许多学者和公司已经在不动产租赁业务管理系统的研究中取得了较为成熟的成果。国外一些大型房地产平台,如Airbnb、Zillow和Realtor等,已经将传统的租赁服务转化为信息化管理。Airbnb作为全球知名的短租平台,通过线上系统将房东和租客有效对接,简化了房源管理和订单处理流程。这些平台普遍采用Web框架进行前后端编写,提升了租赁过程中的透明度和效率。同时,国外一些学者研究了Web框架的应用,提出依据模块化设计来提升系统的可扩展性与可维护性,从而应对租赁市场的复杂性与变化需求。
国内在不动产租赁管理系统的研究与实践方面也有了显著的进展。近年来,随着租赁市场的快速发展,许多企业开始投入到这一领域,推出了包括58同城、链家网等租赁管理平台。这些平台不仅提供房源信息,还集成了租赁合同签订、支付、评价等功能,极大地提高了租赁业务的效率和用户体验。学者们也在研究如何通过技术手段提升租赁系统的安全性与稳定性,并探讨了如何在数据库设计和系统架构中做到高效的数据处理与存储。Flask作为一种轻量级框架,在国内的开发者中也获得了广泛应用。许多开发者利用Flask的简洁性和灵活性,快速构建了基于Web的租赁管理系统,满足了不同用户的需求。
虽然国内外已经有一些成熟的平台和技术框架,然而,许多系统依然面临着机制单一、安全性不足、难以扩展等问题。在平台设计与建立方面,如何借助合理的科技架构和高效的数据库设计来处理这些问题,仍然是当前研究的重要方向。Flask框架以其轻量、简洁的特性,在构建不动产租赁管理系统时提供了较高的灵活性和可扩展性,能够根据不同的需求和功能进行飞快迭代,解决了传统框架中的许多瓶颈。
国内外的研究与实践表明,凭借信息化手段来提升不动产租赁业务的管理效率和服务质量具有要紧的现实意义。尽管已有多个成熟平台存在,但仍然有改进的空间,尤其是在提高框架安全性、优化用户体验、增强数据处理能力等方面。因此,研究与开发基于Flask框架的租赁管理系统,不仅具有技术上的可行性,也能推动行业的技术革新。
1.3本文的组织结构
第一章是绪论,本文章的开头部分,对本题目的研究背景和研究意义等一些做文字性的描述。
第二章研究了不动产租赁业务管理系统的所采用的开发技术和开发工具。
第三章是系统分析部分,包括系统总体需求描述、功能性角度分析系统需求、非功能性等各个方面分析环境是否允许实现。
第四章是系统设计部分,本文章的重要部分,提供了平台架构的详细设计和一些核心功能模块的设计说明。
第五章是系统的具体实现,介绍系统的各个模块的具体实现。
第六章在前几章的基础上对系统进行测试和运行。
最终对系统进行了认真的总结,以此对未来有一个新的展望。
第2章相关技术介绍
2.1B/S体系工作原理
B/S(Browser/Server)架构是一种基于浏览器和服务器的应用架构模式。它以Web浏览器作为客户端,服务器端通过Web技术提供应用服务。客户端通过浏览器与服务器进行交互,用户无需安装专门的客户端应用程序,只需要通过互联网连接即可访问应用程序[1]。在B/S架构中,客户端核心承担用户界面的呈现和基本的输入输出能力,而核心的业务处理、信息存储等操作则由服务器端做完。此种架构的核心优势在于无需在每个客户端机器上安装或更新软件,只要用户的浏览器符合要求,就可以使用架构。
B/S(Browser/Server)架构是一种网络架构模型,其主要特点是客户端通过浏览器与服务器进行通信,所有的业务逻辑和数据处理都在服务器端完成,客户端仅负责展示数据[2]。B/S架构本质上是一种客户端-服务器模式的变体,它通过将传统的C/S(Client/Server)架构中的客户端功能移到浏览器中,简化了客户端的构建和维护工作。在B/S架构中,用户通过浏览器发送请求,浏览器负责展示从服务器获取的素材,服务器则处理请求并返回响应。该架构避免了安装和配置客户端软件的麻烦,也减少了对客户端硬件的依赖,适合于需要大规模部署和跨平台支持的应用框架。
2.2Flask框架介绍
Flask是一个轻量级的可定制框架,使用Python语言编写,较其他同类型框架更为灵活、轻便、安全且容易上手。它可以很好地结合MVC模式进行开发,开发人员分工合作,小型团队在短时间内就能够完成功能丰富的中小型网站或Web服务通过的搭建。另外,Flask还有很强的定制性,用户可以根据自己的需求来添加相应的功能,在保持核心功能简单的同时实现功能的丰富与扩展,其强大的插件库能够让用户实现个性化的网站定制,开发出功能强大的网站[3]。
其他Web框架不可替代的[4]。就是Flask是目前十分流行的web框架,采用Python编程语言来实现相关功能。它被称为微框架(microframework),“微”并不是意味着把整个Web应用放入到一个Python材料,微框架中的“微”是指Flask旨在保持代码简洁且易于扩展,Flask框架的主导特征是核心构成比较简单,但具有很强的扩展性和兼容性,程序员可以使用Python语言高效实现一个网站或Web服务。一般情况下,它不会指定数据库和模板引擎等对象,用户行根据需要自己选择各种数据库。Flask自身不会提供表单验证功能,在计划实施过程中可以自由配置,从而为应用程序开发提供数据库抽象层基础组件,支持进行表单素材合法性验证、档案上传处理、用户身份认证和数据库集成等特性。Flask主要包括Werkzeug和Jinja2两个核心函数库,它们分别负责业务处理和安全方面的功能,这些基础函数为web项目开发过程提供了丰富的基础组件。Werkzeug库十分强大,功能比较完善,支持URL路由请求集成,一次许可响应多个用户的访问请求;支持Cookie和会话管理,通过身份缓存数据建立长久连接关系,并提高用户访问速度;拥护交互式Javascript调试,提高用户体验;能够处理HTTP基本事务,快速响应客户端推送过来的访问请求。Jinja2库支持自动HTML转移功能,能够很好控制外部黑客的脚本攻击。系统运行速度很快,页面加载过程会将源码进行编译形成Python字节码,从而实现模板的高效运行;模板继承机制可以对模板内容进行修改和维护,为不同需求的用户提供相应的模板。目前Python的web框架有很多。除了Flask,还有django、Web2py等。其中Django是目前Python的框架中使用度最高的。但是Django如同java的EJB(EnterpriseJavaBeansJavaEE服务器端组件模型)多被用于大型网站的开发,但对于大多数的小型网站的开发,使用SSH(Struts+Spring+Hibernat的一个JavaEE集成框架)就行满足,和其他的轻量级框架相比较,Flask框架有很好的扩展性,这
2.3Vue技能
通过组件化开发将复杂的UI拆分为可重用的独立模块,从而提升了代码的模块化、可维护性和可扩展性。就是Vue.js是一款用于构建用户界面的渐进式JavaScript框架,提供一种灵活而高效的方式来研发单页面应用(SPA)。Vue的设计理念是通过尽量简化开发过程,提供一种声明式的方式来构建用户界面[5]。Vue.js通过资料驱动的视图模型,允许开发者以声明式语法绑定数据与视图,使得应用的状态和界面表现更加简洁和可维护。它的核心思想
Vue.js具备响应式数据绑定和虚拟DOM的特性。响应式数据绑定意味着当数据变化时,Vue会自动更新与之绑定的DOM元素,从而搭建视图的实时更新。虚拟DOM则是Vue.js的一种优化手段,通过将对DOM的操作抽象为一个虚拟的DOM树来提高性能,减少实际DOM操作的开销[6]。Vue还提供了丰富的插件和工具,如Vue Router用于路由管理,Vuex用于状态管理,方便开发者构建复杂的前端应用。Vue的灵活性和简洁性使其成为现代Web开发中常用的前端框架之一。
2.4MySQL数据库
一种开源的关系型数据库管理系统(RDBMS),基于SQL(结构化查询语言)进行资料操作。作为一个被广泛使用的数据库系统,MySQL具有高度的性能、可扩展性和可靠性。MySQL利用表格结构来存储信息,每个表由多个列和行组成,资料通过SQL查询语言进行操作[7]。MySQL承受多种数据类型,如整数、浮动小数、字符串、日期等,以满足不同应用场景对素材存储的需求。在实际应用中,MySQL通常用于存储和管理结构化内容,通过索引、视图、触发器等特性提升数据查询的效率和数据的完整性。就是MySQL
MySQL承受ACID事务特性(原子性、一致性、隔离性、持久性),确保数据库操作的可靠性和材料的一致性。它还支持多种存储引擎,其中InnoDB是最常用的存储引擎,具备事务拥护、行级锁定和外键约束等特性,适用于高并发、高可靠性的数据存储需求。MySQL可以通过主从复制、分区和分库分表等技术实现横向扩展,以应对大规模信息存储和高负载的应用需求。MySQL还具有灵活的权限管理机制,支持用户角色管理、细粒度的权限控制等,保障素材的安全性。
第3章系统分析
3.1可行性分析
开发任何一个系统,都要对其可行性进行分析,对其时间和资源上的限制进行考虑,这样可以减少平台开发的风险。同时,分析之后不仅能够合理的运用人力,还能在各方面资源的消耗上得到节省。下面就对技术、经济和社会三个方面来介绍。
3.1.1技术可行性
技术可行性首要考虑当前项目所用的技术是否能够符合,在设备上是否能够满足,及各种辅助工具是否提供援助。本平台用的是python开发语言,调试相对简单,当前的计算机硬件配置也完全能满足开发的需求,因此在技术上是绝对可行的。软件方面:由于软件的开发平台成熟可行,它们速度快、容量大、可靠性能高、价格低,完全能满足系统的需求。采用python编程语言,已无技术上的问题。
3.1.2经济可行性
系统所采用的ZendStudio开发平台和Mysql后端数据库均为免费开发工具。故开发成本主要集中在后期的推广及系统维护上。相对于成本较高的C/S模式,也是选用了成本较低的B/S模式,因此经济上几乎没任何问题。
3.1.3操作可行性
采用Flask框架的不动产租赁业务管理系统在操作可行性方面具备显著优势。系统采用用户友好的界面设计,使得用户能够轻松地进行操作,无需具备专业的技术背景。同时,系统拥护多种设备访问,包括电脑、手机和平板等,满足用户在不同场景下的运用需求。此外,系统还提供了详细的管理指南,帮助用户飞快掌握应用技巧,应对在使用过程中遇到的难题。因此,不动产租赁业务管理系统在管理层面是完全可行的。
3.2功能需求分析
本论文设计并实现了一个基于Flask框架的不动产租赁业务管理系统,旨在为租客、房东和管理员提供一站式服务。架构的核心功能涵盖了租赁信息管理、租客与房东的互动、订单管理以及后台管理等。下面是对系统功能的详细分析。
1.租客用户功能
登录注册:租客通过电子邮件或手机号码注册账户,使用密码进行登录,系统会依据验证用户的身份信息来保证安全性。
首页:租客在登录后能够看到主界面,展示推荐的房源信息、通知公告以及新闻资讯等。
通知公告:提供有关不动产管理的通知、框架更新、租赁政策等信息的发布与展示。
新闻资讯:租客能够查看最新的新闻与租赁市场动态,以支援其做出更好的租赁决策。
房屋信息:租客能够浏览各种房屋的信息,包括位置、价格、面积、设施、图片等详细资料。
我的账户:租客可以查看和管理个人账户的信息,包括修改个人资料、修改密码等。
个人中心:
个人首页:显示租客的基本信息及租赁历史。
租赁记录:查看过往的租赁历史,方便管理自己的租赁需求。
租赁合同:允许查看租赁合同并进行支付。
租赁订单:行查看租赁订单状态。
收藏:用户可以收藏自己感兴趣的房源,方便后续查看。
评论管理:用户允许查看自己发布的评论和评分,并对不满意的内容进行修改或删除。
2.房东用户功能
登录注册:房东通过账户注册并验证身份,确保只有合法房东能够管理房源信息。
房屋信息:房东可以添加、修改和删除自己的房屋信息,包括房屋的基本信息、价格、图片等。
我的账户:可以查看和管理个人账户的信息,包括修改个人资料、修改密码等。
租赁记录:查看和审核房屋的租赁信息。
租赁合同:可以上传租赁合同。
租赁订单:房东可以确认订单,并管理订单状态。
3.管理员功能
后台首页:管理员可以访问后台管理页面,实时查看平台数据概况,包括房源、订单、租客与房东等信息。
通过系统用户管理:管理员能够查看、编辑、删除系统用户(租客、房东)信息,确保用户管理的规范性。
房屋类型管理:管理员负责管理房屋的分类,例如“单房”、“一房一厅”等,并在系统中进行更新和维护。
房屋信息管理:管理员可以审核房东发布的房屋信息,确保信息的准确性,并进行必要的修改或删除。
租赁记录管理:管理员可查看和管理所有租赁记录,确保租赁流程的透明性和顺畅。
租赁合同管理:审核与管理所有租赁合同,确保合同内容合法、合规。
租赁订单管理:管理员负责管理租赁订单,包括订单的状态跟踪和历史记录。
员工信息管理:管理员可以管理平台的员工信息,包括增删改查等。
通过轮播图管理:管理员能够更新系统首页的轮播图,展示重要活动或信息。
通过通知公告管理:管理员能够发布系统的通知公告,确保所有用户获取最新信息。
资源管理:管理员负责管理平台上的新闻资讯资源,制定资讯的分类、更新和发布。
3.3非功能需求分析
非功能性需求主要关注的是架构如何运行,而不是它具体完成什么特性。这些需求包括性能、可用性、安全性、可维护性、可扩展性、易用性等方面。以下是一个关于不动产租赁业务管理系统非功能性需求分析的概要。
性能需求:系统需确保快速响应和高吞吐量,以支持大量用户同时访问,即使在高峰时段也能保持流畅的操作体验,避免因延迟或卡顿影响用户体验。
可用性:安系统必须具备高可用性,采用冗余部署、负载均衡等策略,确保即使部分组件故障也能迅速恢复服务,减少服务中断时间,保障用户业务的连续性。
安全性:鉴于系统处理用户敏感信息,如个人信息等,必须实施严格的安全措施,包括内容加密、访问控制、防攻击机制等,以保护用户数据免受未授权访问或泄露。
可维护性:系统设计应注重可维护性,采用模块化、标准化的架构,供应详尽的开发文档和用户手册,确保框架易于理解和维护,降低长期运维成本。
可扩展性:随着业务的发展,系统可能需要扩展效果或提升性能。因此,系统需具备灵活的可扩展性,能够轻松添加新模块、优化性能,以应对未来增长的需求。
易用性:用户界面应直观易用,符合用户习惯,提供清晰的导航和友好的执行反馈,援助用户快捷上手并高效完成任务,提升整体用户满意度。
3.4架构用例分析
根据3.2功能需求,得出以下用例图
租客用户用例图如下所示。

图3-1 租客用户用例图
房东用户用例图如下所示。

图3-2 房东用户用例图
管理员用例图如下所示。

图3-3 管理员用例图
3.5系统流程分析
3.5.1程序操作流程
用户访问系统,可以选择进行注册或登录操作。注册成功后,用户可以使用注册的账号登录系统。登录后的用户可以进入环境功能界面,使用自己权限内的能力操作。工具操作流程图如图3-4所示。

图3-4 程序操作流程图
3.5.2登录流程
用户访问架构,进入登录页面页面,入其用户名和密码,后端服务接收登录请求,验证用户提供的用户名和密码是否匹配数据库中存储的信息,验证凭借即可登录成功。登录流程图如图3-5所示。

图3-5 登录流程图
3.5.3注册流程
未有账号的用户可进入注册界面进行注册操作,填写注册表格,包括用户名、密码、电子邮件等必要信息。后台系统验证并保存用户提交的信息。分配唯一用户标识符。注册成功后,用户行使用账号密码进行登录。用户注册流程图如图3-6所示。

图3-6 注册流程图
第4章系统设计
4.1系统架构设计
采用Flask框架的不动产租赁业务管理系统的架构设计核心分为可以3层,关键有Web层,业务层,Model层。其中web层还包括View层和Controller层,Model层包括元数据扩展层和数据访问层。
框架架构如下图所示。

图4-1 系统架构
4.2系统总体设计
根据先前完成的需求分析,并查阅相关资料后整理制作的。系统功能结构图如下图所示。就是采用Flask框架的不动产租赁业务管理系统总体分为前台用户模块和后台管理员模块。两个模块表现上是分别独立存在,但是访问的数据库是一样的。每一个模块的能力都

图4-2 环境作用结构图
4.3数据库设计
4.3.1数据库实体设计
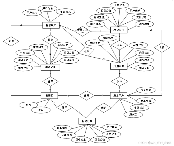
数据库实体设计是数据库设计的关键步骤,对实际业务逻辑中涉及的实体及其属性进行抽象建模,明确系统中的主要信息对象及其关系[8]。在实体设计中,根据需求分析确定架构的核心实体,如用户、角色、权限等,提取实体的主要属性,如用户的ID、姓名、联系方式,名称、类型等,同时定义各实体之间的关系,包括一对一、一对多、多对多等。在设计过程中,注重实体的完整性、规范性和唯一性,确保设计能够满足体系功能需求,并为后续的表设计提供清晰的结构框架。实体设计需遵循数据库设计的标准化要求,避免资料冗余和不必要的复杂度。
框架ER图如下图所示。

图4-3 系统ER图
4.3.2数据库表设计
数据库表设计基于实体设计,将抽象的实体映射为具体的表结构。设计过程中,为每个实体定义表名、字段名及数据类型[9]。根据业务需求,合理定义主键、外键及约束条件,确保表之间的关联性,例如经过外键建立用户表和角色表之间的关系。表设计时注重素材存储的完整性、一致性,并借助索引优化查询效率,最终确保数据库结构能够支持系统的功能需求。以下是系统的数据库表设计展示。
表 4-1-access_token(登陆访问时长)
编号 | 字段名 | 类型 | 长度 | 是否非空 | 是否主键 | 注释 |
1 | token_id | int | 是 | 是 | 临时访问牌ID | |
2 | token | varchar | 64 | 否 | 否 | 临时访问牌 |
3 | info | text | 65535 | 否 | 否 | 信息 |
4 | maxage | int | 是 | 否 | 最大寿命:默认2小时 | |
5 | create_time | timestamp | 是 | 否 | 创建时间 | |
6 | update_time | timestamp | 是 | 否 | 更新时间 | |
7 | user_id | int | 是 | 否 | 用户编号 |
表 4-2-article(文章)
编号 | 字段名 | 类型 | 长度 | 是否非空 | 是否主键 | 注释 |
1 | article_id | mediumint | 是 | 是 | 文章id | |
2 | title | varchar | 125 | 是 | 是 | 标题 |
3 | type | varchar | 64 | 是 | 否 | 文章分类 |
4 | hits | int | 是 | 否 | 点击数 | |
5 | praise_len | int | 是 | 否 | 点赞数 | |
6 | create_time | timestamp | 是 | 否 | 创建时间 | |
7 | update_time | timestamp | 是 | 否 | 更新时间 | |
8 | source | varchar | 255 | 否 | 否 | 来源 |
9 | url | varchar | 255 | 否 | 否 | 来源地址 |
10 | tag | varchar | 255 | 否 | 否 | 标签 |
11 | content | longtext | 4294967295 | 否 | 否 | 正文 |
12 | img | varchar | 255 | 否 | 否 | 封面图 |
13 | description | text | 65535 | 否 | 否 | 文章描述 |
表 4-3-article_type(文章分类)
编号 | 字段名 | 类型 | 长度 | 是否非空 | 是否主键 | 注释 |
1 | type_id | smallint | 是 | 是 | 分类ID | |
2 | display | smallint | 是 | 否 | 显示顺序 | |
3 | name | varchar | 16 | 是 | 否 | 分类名称 |
4 | father_id | smallint | 是 | 否 | 上级分类ID | |
5 | description | varchar | 255 | 否 | 否 | 描述 |
6 | icon | text | 65535 | 否 | 否 | 分类图标 |
7 | url | varchar | 255 | 否 | 否 | 外链地址 |
8 | create_time | timestamp | 是 | 否 | 创建时间 | |
9 | update_time | timestamp | 是 | 否 | 更新时间 |
表 4-4-auth(用户权限管理)
编号 | 字段名 | 类型 | 长度 | 是否非空 | 是否主键 | 注释 |
1 | auth_id | int | 是 | 是 | 授权ID | |
2 | user_group | varchar | 64 | 否 | 否 | 用户组 |
3 | mod_name | varchar | 64 | 否 | 否 | 模块名 |
4 | table_name | varchar | 64 | 否 | 否 | 表名 |
5 | page_title | varchar | 255 | 否 | 否 | 页面标题 |
6 | path | varchar | 255 | 否 | 否 | 路由路径 |
7 | parent | varchar | 64 | 否 | 否 | 父级菜单 |
8 | parent_sort | int | 是 | 否 | 父级菜单排序 | |
9 | position | varchar | 32 | 否 | 否 | 位置 |
10 | mode | varchar | 32 | 是 | 否 | 跳转方式 |
11 | add | tinyint | 是 | 否 | 是否可增加 | |
12 | del | tinyint | 是 | 否 | 是否可删除 | |
13 | set | tinyint | 是 | 否 | 是否可修改 | |
14 | get | tinyint | 是 | 否 | 是否可查看 | |
15 | field_add | text | 65535 | 否 | 否 | 添加字段 |
16 | field_set | text | 65535 | 否 | 否 | 修改字段 |
17 | field_get | text | 65535 | 否 | 否 | 查询字段 |
18 | table_nav_name | varchar | 500 | 否 | 否 | 跨表导航名称 |
19 | table_nav | varchar | 500 | 否 | 否 | 跨表导航 |
20 | option | text | 65535 | 否 | 否 | 配置 |
21 | create_time | timestamp | 是 | 否 | 创建时间 | |
22 | update_time | timestamp | 是 | 否 | 更新时间 |
表 4-5-code_token(验证码)
编号 | 字段名 | 类型 | 长度 | 是否非空 | 是否主键 | 注释 |
1 | code_token_id | int | 是 | 是 | 验证码ID | |
2 | token | varchar | 255 | 否 | 否 | 令牌 |
3 | code | varchar | 255 | 否 | 否 | 验证码 |
4 | expire_time | timestamp | 是 | 否 | 失效时间 | |
5 | create_time | timestamp | 是 | 否 | 创建时间 | |
6 | update_time | timestamp | 是 | 否 | 更新时间 |
表 4-6-collect(收藏)
编号 | 字段名 | 类型 | 长度 | 是否非空 | 是否主键 | 注释 |
1 | collect_id | int | 是 | 是 | 收藏ID | |
2 | user_id | int | 是 | 是 | 收藏人ID | |
3 | source_table | varchar | 255 | 否 | 否 | 来源表 |
4 | source_field | varchar | 255 | 否 | 否 | 来源字段 |
5 | source_id | int | 是 | 否 | 来源ID | |
6 | title | varchar | 255 | 否 | 否 | 标题 |
7 | img | varchar | 255 | 否 | 否 | 封面 |
8 | create_time | timestamp | 是 | 否 | 创建时间 | |
9 | update_time | timestamp | 是 | 否 | 更新时间 |
表 4-7-comment(评论)
编号 | 字段名 | 类型 | 长度 | 是否非空 | 是否主键 | 注释 |
1 | comment_id | int | 是 | 是 | 评论ID | |
2 | user_id | int | 是 | 是 | 评论人ID | |
3 | reply_to_id | int | 是 | 否 | 回复评论ID | |
4 | content | longtext | 4294967295 | 否 | 否 | 内容 |
5 | nickname | varchar | 255 | 否 | 否 | 昵称 |
6 | avatar | varchar | 255 | 否 | 否 | 头像地址 |
7 | create_time | timestamp | 是 | 否 | 创建时间 | |
8 | update_time | timestamp | 是 | 否 | 更新时间 | |
9 | source_table | varchar | 255 | 否 | 否 | 来源表 |
10 | source_field | varchar | 255 | 否 | 否 | 来源字段 |
11 | source_id | int | 是 | 否 | 来源ID |
表 4-8-employee_information(员工信息)
编号 | 字段名 | 类型 | 长度 | 是否非空 | 是否主键 | 注释 |
1 | employee_information_id | int | 是 | 是 | 员工信息ID | |
2 | employee_name | varchar | 64 | 否 | 否 | 员工姓名 |
3 | employee_rankings | varchar | 64 | 否 | 否 | 员工排名 |
4 | entry_date | date | 否 | 否 | 录入日期 | |
5 | number_of_business | double | 否 | 否 | 业务数量 | |
6 | satisfaction | varchar | 64 | 否 | 否 | 满意度 |
7 | task_assignment | text | 65535 | 否 | 否 | 任务分配 |
8 | performance_evaluation | text | 65535 | 否 | 否 | 绩效评估 |
9 | create_time | datetime | 是 | 否 | 创建时间 | |
10 | update_time | timestamp | 是 | 否 | 更新时间 |
表 4-9-hits(用户点击)
编号 | 字段名 | 类型 | 长度 | 是否非空 | 是否主键 | 注释 |
1 | hits_id | int | 是 | 是 | 点赞ID | |
2 | user_id | int | 是 | 否 | 点赞人 | |
3 | create_time | timestamp | 是 | 否 | 创建时间 | |
4 | update_time | timestamp | 是 | 否 | 更新时间 | |
5 | source_table | varchar | 255 | 否 | 否 | 来源表 |
6 | source_field | varchar | 255 | 否 | 否 | 来源字段 |
7 | source_id | int | 是 | 否 | 来源ID |
表 4-10-housing_information(房屋信息)
编号 | 字段名 | 类型 | 长度 | 是否非空 | 是否主键 | 注释 |
1 | housing_information_id | int | 是 | 是 | 房屋信息ID | |
2 | landlord_user | int | 否 | 否 | 房东用户 | |
3 | name_of_landlord | varchar | 64 | 否 | 否 | 房东姓名 |
4 | landlord_phone | varchar | 64 | 否 | 否 | 房东电话 |
5 | type_of_house | varchar | 64 | 否 | 否 | 房屋类型 |
6 | housing_area | varchar | 64 | 否 | 否 | 房屋面积 |
7 | house_type | varchar | 64 | 否 | 否 | 房屋户型 |
8 | house_status | varchar | 64 | 否 | 否 | 房屋状态 |
9 | rent_deposit | double | 否 | 否 | 租房押金 | |
10 | lease_amount | double | 否 | 否 | 租赁金额 | |
11 | lease_rules | varchar | 64 | 否 | 否 | 租赁规则 |
12 | house_address | varchar | 64 | 否 | 否 | 房屋地址 |
13 | cover_image | varchar | 255 | 否 | 否 | 封面图片 |
14 | supporting_facilities | text | 65535 | 否 | 否 | 配套设施 |
15 | house_introduction | longtext | 4294967295 | 否 | 否 | 房屋介绍 |
16 | praise_len | int | 是 | 否 | 点赞数 | |
17 | collect_len | int | 是 | 否 | 收藏数 | |
18 | comment_len | int | 是 | 否 | 评论数 | |
19 | lease_records_limit_times | int | 是 | 否 | 租赁限制次数 | |
20 | create_time | datetime | 是 | 否 | 创建时间 | |
21 | update_time | timestamp | 是 | 否 | 更新时间 |
表 4-11-landlord_user(房东用户)
编号 | 字段名 | 类型 | 长度 | 是否非空 | 是否主键 | 注释 |
1 | landlord_user_id | int | 是 | 是 | 房东用户ID | |
2 | name_of_landlord | varchar | 64 | 否 | 否 | 房东姓名 |
3 | landlord_phone | varchar | 64 | 否 | 否 | 房东电话 |
4 | examine_state | varchar | 16 | 是 | 否 | 审核状态 |
5 | user_id | int | 是 | 否 | 用户ID | |
6 | create_time | datetime | 是 | 否 | 创建时间 | |
7 | update_time | timestamp | 是 | 否 | 更新时间 |
表 4-12-lease_contract(租赁合同)
编号 | 字段名 | 类型 | 长度 | 是否非空 | 是否主键 | 注释 |
1 | lease_contract_id | int | 是 | 是 | 租赁合同ID | |
2 | landlord_user | int | 否 | 否 | 房东用户 | |
3 | type_of_house | varchar | 64 | 否 | 否 | 房屋类型 |
4 | housing_area | varchar | 64 | 否 | 否 | 房屋面积 |
5 | house_type | varchar | 64 | 否 | 否 | 房屋户型 |
6 | rent_deposit | double | 否 | 否 | 租房押金 | |
7 | lease_amount | double | 否 | 否 | 租赁金额 | |
8 | lease_rules | varchar | 64 | 否 | 否 | 租赁规则 |
9 | house_address | varchar | 64 | 否 | 否 | 房屋地址 |
10 | tenant_user | int | 否 | 否 | 租客用户 | |
11 | user_name | varchar | 64 | 否 | 否 | 用户姓名 |
12 | user_phone | varchar | 64 | 否 | 否 | 用户电话 |
13 | number_of_leases | double | 否 | 否 | 租赁数量 | |
14 | total_lease_price | double | 否 | 否 | 租赁总价 | |
15 | contract_documents | varchar | 255 | 否 | 否 | 合同文件 |
16 | user_confirmation | varchar | 64 | 否 | 否 | 用户确认 |
17 | pay_state | varchar | 16 | 是 | 否 | 支付状态 |
18 | pay_type | varchar | 16 | 否 | 否 | 支付类型: 微信、支付宝、网银 |
19 | lease_order_limit_times | int | 是 | 否 | 订单限制次数 | |
20 | create_time | datetime | 是 | 否 | 创建时间 | |
21 | update_time | timestamp | 是 | 否 | 更新时间 | |
22 | source_table | varchar | 255 | 否 | 否 | 来源表 |
23 | source_id | int | 否 | 否 | 来源ID | |
24 | source_user_id | int | 否 | 否 | 来源用户 |
表 4-13-lease_order(租赁订单)
编号 | 字段名 | 类型 | 长度 | 是否非空 | 是否主键 | 注释 |
1 | lease_order_id | int | 是 | 是 | 租赁订单ID | |
2 | order_number | varchar | 64 | 否 | 否 | 订单编号 |
3 | landlord_user | int | 否 | 否 | 房东用户 | |
4 | type_of_house | varchar | 64 | 否 | 否 | 房屋类型 |
5 | housing_area | varchar | 64 | 否 | 否 | 房屋面积 |
6 | house_type | varchar | 64 | 否 | 否 | 房屋户型 |
7 | rent_deposit | double | 否 | 否 | 租房押金 | |
8 | lease_amount | double | 否 | 否 | 租赁金额 | |
9 | lease_rules | varchar | 64 | 否 | 否 | 租赁规则 |
10 | house_address | varchar | 64 | 否 | 否 | 房屋地址 |
11 | tenant_user | int | 否 | 否 | 租客用户 | |
12 | user_name | varchar | 64 | 否 | 否 | 用户姓名 |
13 | user_phone | varchar | 64 | 否 | 否 | 用户电话 |
14 | number_of_leases | double | 否 | 否 | 租赁数量 | |
15 | total_lease_price | double | 否 | 否 | 租赁总价 | |
16 | contract_documents | varchar | 255 | 否 | 否 | 合同文件 |
17 | user_confirmation | varchar | 64 | 否 | 否 | 用户确认 |
18 | order_status | varchar | 64 | 否 | 否 | 订单状态 |
19 | status_description | varchar | 64 | 否 | 否 | 状态描述 |
20 | create_time | datetime | 是 | 否 | 创建时间 | |
21 | update_time | timestamp | 是 | 否 | 更新时间 | |
22 | source_table | varchar | 255 | 否 | 否 | 来源表 |
23 | source_id | int | 否 | 否 | 来源ID | |
24 | source_user_id | int | 否 | 否 | 来源用户 |
表 4-14-lease_records(租赁记录)
编号 | 字段名 | 类型 | 长度 | 是否非空 | 是否主键 | 注释 |
1 | lease_records_id | int | 是 | 是 | 租赁记录ID | |
2 | landlord_user | int | 否 | 否 | 房东用户 | |
3 | type_of_house | varchar | 64 | 否 | 否 | 房屋类型 |
4 | housing_area | varchar | 64 | 否 | 否 | 房屋面积 |
5 | house_type | varchar | 64 | 否 | 否 | 房屋户型 |
6 | rent_deposit | double | 否 | 否 | 租房押金 | |
7 | lease_amount | double | 否 | 否 | 租赁金额 | |
8 | lease_rules | varchar | 64 | 否 | 否 | 租赁规则 |
9 | house_address | varchar | 64 | 否 | 否 | 房屋地址 |
10 | tenant_user | int | 否 | 否 | 租客用户 | |
11 | user_name | varchar | 64 | 否 | 否 | 用户姓名 |
12 | user_phone | varchar | 64 | 否 | 否 | 用户电话 |
13 | number_of_leases | double | 否 | 否 | 租赁数量 | |
14 | total_lease_price | double | 否 | 否 | 租赁总价 | |
15 | lease_remarks | text | 65535 | 否 | 否 | 租赁备注 |
16 | examine_state | varchar | 16 | 是 | 否 | 审核状态 |
17 | examine_reply | varchar | 16 | 否 | 否 | 审核回复 |
18 | lease_contract_limit_times | int | 是 | 否 | 合同限制次数 | |
19 | create_time | datetime | 是 | 否 | 创建时间 | |
20 | update_time | timestamp | 是 | 否 | 更新时间 | |
21 | source_table | varchar | 255 | 否 | 否 | 来源表 |
22 | source_id | int | 否 | 否 | 来源ID | |
23 | source_user_id | int | 否 | 否 | 来源用户 |
表 4-15-notice(公告)
编号 | 字段名 | 类型 | 长度 | 是否非空 | 是否主键 | 注释 |
1 | notice_id | mediumint | 是 | 是 | 公告ID | |
2 | title | varchar | 125 | 是 | 否 | 标题 |
3 | content | longtext | 4294967295 | 否 | 否 | 正文 |
4 | create_time | timestamp | 是 | 否 | 创建时间 | |
5 | update_time | timestamp | 是 | 否 | 更新时间 |
表 4-16-praise(点赞)
编号 | 字段名 | 类型 | 长度 | 是否非空 | 是否主键 | 注释 |
1 | praise_id | int | 是 | 是 | 点赞ID | |
2 | user_id | int | 是 | 是 | 点赞人 | |
3 | create_time | timestamp | 是 | 否 | 创建时间 | |
4 | update_time | timestamp | 是 | 否 | 更新时间 | |
5 | source_table | varchar | 255 | 否 | 否 | 来源表 |
6 | source_field | varchar | 255 | 否 | 否 | 来源字段 |
7 | source_id | int | 是 | 否 | 来源ID | |
8 | status | tinyint | 是 | 否 | 点赞状态:1为点赞,0已取消 |
表 4-17-schedule(日程管理)
编号 | 字段名 | 类型 | 长度 | 是否非空 | 是否主键 | 注释 |
1 | schedule_id | smallint | 是 | 是 | 日程ID | |
2 | content | varchar | 255 | 否 | 否 | 日程内容 |
3 | scheduled_time | datetime | 否 | 否 | 计划时间 | |
4 | user_id | int | 是 | 否 | 用户ID | |
5 | create_time | datetime | 否 | 否 | 创建时间 | |
6 | update_time | datetime | 否 | 否 | 更新时间 |
表 4-18-score(评分)
编号 | 字段名 | 类型 | 长度 | 是否非空 | 是否主键 | 注释 |
1 | score_id | int | 是 | 是 | 评分ID | |
2 | user_id | int | 是 | 否 | 评分人 | |
3 | nickname | varchar | 64 | 否 | 否 | 昵称 |
4 | score_num | double | 是 | 否 | 评分 | |
5 | create_time | timestamp | 是 | 否 | 创建时间 | |
6 | update_time | timestamp | 是 | 否 | 更新时间 | |
7 | source_table | varchar | 255 | 否 | 否 | 来源表 |
8 | source_field | varchar | 255 | 否 | 否 | 来源字段 |
9 | source_id | int | 是 | 否 | 来源ID |
表 4-19-slides(轮播图)
编号 | 字段名 | 类型 | 长度 | 是否非空 | 是否主键 | 注释 |
1 | slides_id | int | 是 | 是 | 轮播图ID | |
2 | title | varchar | 64 | 否 | 否 | 标题 |
3 | content | varchar | 255 | 否 | 否 | 内容 |
4 | url | varchar | 255 | 否 | 否 | 链接 |
5 | img | varchar | 255 | 否 | 否 | 轮播图 |
6 | hits | int | 是 | 否 | 点击量 | |
7 | create_time | timestamp | 是 | 否 | 创建时间 | |
8 | update_time | timestamp | 是 | 否 | 更新时间 |
表 4-20-tenant_user(租客用户)
编号 | 字段名 | 类型 | 长度 | 是否非空 | 是否主键 | 注释 |
1 | tenant_user_id | int | 是 | 是 | 租客用户ID | |
2 | user_name | varchar | 64 | 否 | 否 | 用户姓名 |
3 | user_phone | varchar | 64 | 否 | 否 | 用户电话 |
4 | examine_state | varchar | 16 | 是 | 否 | 审核状态 |
5 | user_id | int | 是 | 否 | 用户ID | |
6 | create_time | datetime | 是 | 否 | 创建时间 | |
7 | update_time | timestamp | 是 | 否 | 更新时间 |
表 4-21-type_of_house(房屋类型)
编号 | 字段名 | 类型 | 长度 | 是否非空 | 是否主键 | 注释 |
1 | type_of_house_id | int | 是 | 是 | 房屋类型ID | |
2 | type_of_house | varchar | 64 | 否 | 否 | 房屋类型 |
3 | create_time | datetime | 是 | 否 | 创建时间 | |
4 | update_time | timestamp | 是 | 否 | 更新时间 |
表 4-22-upload(文档上传)
编号 | 字段名 | 类型 | 长度 | 是否非空 | 是否主键 | 注释 |
1 | upload_id | int | 是 | 是 | 上传ID | |
2 | name | varchar | 64 | 否 | 否 | 文件名 |
3 | path | varchar | 255 | 否 | 否 | 访问路径 |
4 | file | varchar | 255 | 否 | 否 | 文件路径 |
5 | display | varchar | 255 | 否 | 否 | 显示顺序 |
6 | father_id | int | 否 | 否 | 父级ID | |
7 | dir | varchar | 255 | 否 | 否 | 文件夹 |
8 | type | varchar | 32 | 否 | 否 | 文件类型 |
表 4-23-user(用户账户)
编号 | 字段名 | 类型 | 长度 | 是否非空 | 是否主键 | 注释 |
1 | user_id | int | 是 | 是 | 用户ID | |
2 | state | smallint | 是 | 否 | 账户状态:(1可用|2异常|3已冻结|4已注销) | |
3 | user_group | varchar | 32 | 否 | 否 | 所在用户组 |
4 | login_time | timestamp | 是 | 否 | 上次登录时间 | |
5 | phone | varchar | 11 | 否 | 否 | 手机号码 |
6 | phone_state | smallint | 是 | 否 | 手机认证:(0未认证|1审核中|2已认证) | |
7 | username | varchar | 16 | 是 | 否 | 用户名 |
8 | nickname | varchar | 16 | 否 | 否 | 昵称 |
9 | password | varchar | 64 | 是 | 否 | 密码 |
10 | varchar | 64 | 否 | 否 | 邮箱 | |
11 | email_state | smallint | 是 | 否 | 邮箱认证:(0未认证|1审核中|2已认证) | |
12 | avatar | varchar | 255 | 否 | 否 | 头像地址 |
13 | open_id | varchar | 255 | 否 | 否 | 针对获取用户信息字段 |
14 | create_time | timestamp | 是 | 否 | 创建时间 |
表 4-24-user_group(用户组)
编号 | 字段名 | 类型 | 长度 | 是否非空 | 是否主键 | 注释 |
1 | group_id | mediumint | 是 | 是 | 用户组ID | |
2 | display | smallint | 是 | 否 | 显示顺序 | |
3 | name | varchar | 16 | 是 | 否 | 名称 |
4 | description | varchar | 255 | 否 | 否 | 描述 |
5 | source_table | varchar | 255 | 否 | 否 | 来源表 |
6 | source_field | varchar | 255 | 否 | 否 | 来源字段 |
7 | source_id | int | 是 | 否 | 来源ID | |
8 | register | smallint | 否 | 否 | 注册位置 | |
9 | create_time | timestamp | 是 | 否 | 创建时间 | |
10 | update_time | timestamp | 是 | 否 | 更新时间 |
第5章系统关键模块设计与达成
采用Flask框架的不动产租赁业务管理系统的详细设计与实现关键是根据前面的采用Flask框架的不动产租赁业务管理系统的需求分析和采用Flask框架的不动产租赁业务管理系统的总体设计来设计页面并搭建业务逻辑。主要从采用Flask框架的不动产租赁业务管理系统界面实现、业务逻辑构建这两部分进行介绍。
5.1租客用户功能模块
5.1.1 前台首页界面
当进入不动产租赁业务管理系统的时候,开始映入眼帘的是环境的导航栏,下面是轮播图,再往下是新闻资讯,其主界面展示如下图所示。

图5-1 前台首页界面图
5.1.2 用户注册界面
否重复,只有都验证没问题后即可用户注册成功。注册用户注册界面展示如下图所示。就是采用Flask框架的不动产租赁业务管理系统的用户可能进行注册登录,当用户右上角“注册”按钮的时候,当填写上自己的账号+密码+确认密码+昵称+邮箱等后再点击“注册”按钮后将会先验证输入的有没有空数据,再次验证密码和确认密码是否是一样的,最后验证输入的账户名和数据库表中已经注册的账户名

图5-2注册界面图
注册代码如下:
# 用户类
class User(controllerClass):
def __init__(self, config={}):
"""
构造函数
@param {Object} config 配置参数
"""
config_init = {
# 选择的模板那路径模板
"tpl": "./user/",
# 选择的服务
"services": "user",
# 注册API
"get_api": ["state", "quit"],
"post_api": ["login", "register", "change_password", "forget_password"],
# 唯一判断
"unique": ["username"]
}
config_temp = config
config_temp.update(config_init)
super(User, self).__init__(config_temp)
def Register(self, ctx):
"""
注册API
@param {Object} config 设置参数
"""
print("===================注册=====================")
userService = service_select("user")
body = ctx.body
# 判断必须信息
if "username" not in body and body["username"] == '':
return {"error": {
"code": 70000,
"message": "用户名不能为空",
}}
if "user_group" not in body and body["user_group"] == '':
return {
"error": {
"code": 70000,
"message": "用户组不能为空",
}
}
if "password" not in body and body["password"] == '':
return {
"error": {
"code": 70000,
"message": "密码不能为空",
}
}
# 取出表单
post_param = body
post_param['nickname'] = body["nickname"] or ""
post_param['password'] = md5hash(body["password"])
# 校验是否存在用户
obj = userService.Get_obj({"username": post_param['username']}, {"like": False})
if obj:
return {
"error": {
"code": 70000,
"message": "用户名已存在",
}
}
ret = {
"error": {
"code": 70000,
"message": "注册失败",
}
}
# 添加
bl = userService.Add(post_param)
if bl:
ret = {
"result": {
"bl": True,
"message": "注册成功"
}
}
return ret
5.1.3 用户登录界面
否一致,只有在一致后将会登录成功并自动跳转到采用Flask框架的不动产租赁业务管理系统的首页中;否则将会提示相应错误信息,用户登录界面如下图所示。就是采用Flask框架的不动产租赁业务管理系统中的前台上注册后的用户是可以通过自己的账户名和密码进行登录的,当用户输入完整的自己的账户名和密码信息并点击“登录”按钮后,将会开始验证输入的有没有空数据,再次验证输入的账户名+密码和数据库中当前保存的用户信息

图5-3用户登录界面图
登录代码如下:
def Login(self, ctx):
"""
登录API
@param {Object} ctx http请求上下文
"""
print("===================登录=====================")
ret = {
"error": {
"code": 70000,
"message": "账户不存在",
}
}
body = ctx.body
# 获取用户
password = md5hash(body["password"]) or ""
obj = service_select("user").Get_obj(
{"username": body["username"]}, {"like": False}
)
if obj:
# 检查用户所属用户组
user_group = service_select("user_group").Get_obj({'name': obj['user_group']}, {"like": False})
if user_group and user_group['source_table'] != '':
user_obj = service_select(user_group['source_table']).Get_obj({"user_id": obj['user_id']},
{"like": False})
if user_obj['examine_state'] == '未通过':
ret = {
"error": {
"code": 70000,
"message": "账户未借助审核",
}
}
return ret
if user_obj['examine_state'] == '未审核':
ret = {
"error": {
"code": 70000,
"message": "账户未审核",
}
}
return ret
# 校验用户状态
if obj["state"] == 1:
# 校验密码
if obj["password"] == password:
# 生成Token
timeout = datetime.now(tz=timezone.utc)
timestamp = int(time.mktime(timeout.timetuple())) * 1000
token = md5hash(str(obj["user_id"]) + "_" + str(timestamp))
# 存储Token
# session[token] = obj["user_id"]
session.setdefault(token, obj["user_id"])
session.permanent = True
service_select("access_token").Add(
{"token": token, "user_id": obj["user_id"]}
)
# 回传用户
obj["token"] = token
ret = {
"result": {"obj": obj}
}
else:
ret = {
"error": {
"code": 70000,
"message": "密码错误",
}
}
else:
ret = {
"error": {
"code": 70000,
"message": "用户账户不可用,请联系管理员",
}
}
return ret
5.1.4新闻资讯界面
当用户点击系统导航栏上的“新闻资讯”后将会进入到该“新闻资讯”列表的界面,随后选择想要看的新闻资讯,点击进入到详细界面,同时允许进行点赞、收藏、评论操作,新闻资讯界面如下图所示。

图5-4新闻资讯界面图
5.1.5 房屋信息界面
当用户点击“房屋信息”这一菜单按钮,会显示所有的房屋信息,支持关键词搜索和下拉搜索,选择某一条房屋信息点击可以进入到房屋详细介绍界面,同时可以进行租赁、收藏、点赞、评论等操作,房屋信息列表界面如下图4-5所示。房屋信息详情界面如下图4-6所示。房屋租赁界面如下图4-7所示。

图5-5 房屋信息列表界面图

图5-6 房屋信息详情界面图

图5-7 房屋租赁界面图
5.2房东用户功能模块
5.2.1 房屋信息界面
点击个人中心“房屋信息”菜单,房东用户行添加、修改和删除自己的房屋信息,包括房屋的基本信息、价格、图片等。房屋信息添加界面如下图所示。

图5-8房屋信息添加界面图
点击个人中心“租赁合同”菜单,房东用户可能添加、修改和删除租赁合同信息,包括房屋的主要信息、价格、图片、上传合同记录等。租赁合同添加界面如下图所示。

图5-9租赁合同添加界面图
点击个人中心“租赁记录”菜单,房东用户可以查看和审核租客提交的租赁信息。租赁记录界面如下图所示。

图5-10租赁记录界面图
5.3.1用户管理界面
管理员点击“用户管理”这一菜单会显示管理员、租客用户、房东用户这三个子菜单,管理员可以对这三个角色的信息进行增删改查操作。界面如下图所示。

图5-11用户管理界面图
管理员点击“员工信息管理”这一菜单会显示员工信息列表和员工信息添加两个子菜单,点击“员工信息列表”可以查看所有的员工信息,还可以进行重置、查询、删除等管理。点击“员工信息添加”,管理员可以添加新的员工信息。员工信息添加界面如下图5-12所示。

图5-12员工信息添加界面图
5.3.3资源管理界面
管理员点击“资源管理”菜单,管理员许可上传、编辑或删除系统的资源,如文章、图片、视频等。这些资源可用于新闻资讯模块的展示。管理员还行对新闻资讯进行分类和标签化,方便用户查找和使用,界面如下图所示。

图5-13资源管理界面图
5.3.4轮播图界面
管理员可以对系统前台展示的轮播图进行增删改查,方便用户进行查看。轮播图管理界面如下图所示。

图5-14 系统管理界面图
5.3.5通知公告界面
管理员点击“通知公告管理”这个菜单,可以对系统中的通知公告信息进行管理,包括通知公告信息的增删改查等管理。通知公告管理界面如下图所示。

图5-15通知公告界面图
添加信息代码:
def Add(self, ctx):
"""
增
@param {Object} ctx http请求上下文
@return {Object} 返回json-rpc格式结果
"""
body = ctx.body
unique = self.config.get("unique")
obj = None
if unique:
qy = {}
for i in range(len(unique)):
key = unique[i]
qy[key] = body.get(key)
obj = self.service.Get_obj(qy)
if not obj:
# 添加材料前
error = self.Add_before(ctx)
if error["code"]:
return {"error": error}
error = self.Events("add_before", ctx, None)
if error["code"]:
return {"error": error}
# 添加数据
result = self.service.Add(body, self.config)
# 添加数据发生错误
if self.service.error:
return {"error": self.service.error}
# 添加数据成功后
res = self.Add_after(ctx, result)
if res:
result = res
res = self.Events("add_after", ctx, result)
if res:
result = res
return {"result": result}
else:
return {"error": {"code": 10000, "message": "已存在"}}
删除代码:
# 删
def Del(self, ctx):
"""
删
@param {Object} ctx http请求上下文
@return {Object} 返回json-rpc格式结果
"""
if len(ctx.query) == 0:
errorMsg = {"code": 30000, "message": "删除条件不能为空!"}
return errorMsg
result = self.service.Del(ctx.query, self.config)
if self.service.error:
return {"error": self.service.error}
return {"result": result}
修改信息代码:
# 改
def Set(self, ctx):
"""
改
@param {Object} ctx http请求上下文
@return {Object} 返回json-rpc格式结果
"""
# 修改数据前
error = self.Set_before(ctx)
if error["code"]:
return {"error": error}
error = self.Events("set_before", ctx, None)
if error["code"]:
return {"error": error}
query = ctx.query
if 'page' in query.keys():
del ctx.query['page']
if 'size' in query.keys():
del ctx.query['size']
if 'orderby' in query.keys():
del ctx.query['orderby']
# 修改数据
result = self.service.Set(ctx.query, ctx.body, self.config)
# 修改数据发生错误
if self.service.error:
return {"error": self.service.error}
# 修改内容成功后
res = self.Set_after(ctx, result)
if res:
result = res
res = self.Events("set_after", ctx, result)
if res:
result = res
return {"result": result}
查询代码:
# 查多条
def Get_list(self, ctx):
"""
查多条
@param {Object} ctx http请求上下文
@return {Object} 返回json-rpc格式结果
"""
query = dict(ctx.query)
config_plus = {}
if "field" in query:
field = query.pop("field")
config_plus["field"] = field
if "page" in query:
config_plus["page"] = query.pop("page")
if "size" in query:
config_plus["size"] = query.pop("size")
if "orderby" in query:
config_plus["orderby"] = query.pop("orderby")
if "like" in query:
config_plus["like"] = query.pop("like")
if "groupby" in query:
config_plus["groupby"] = query.pop("groupby")
count = self.service.Count(query)
lst = []
if self.service.error:
return {"error": self.service.error}
elif count:
lst = self.service.Get_list(query,
obj_update(self.config, config_plus))
if self.service.error:
return {"error": self.service.error}
self.interact_list(ctx, lst)
return {"result": {"list": lst, "count": count}}
# 查一条
def Get_obj(self, ctx):
"""
查一条
@param {Object} ctx http请求上下文
@return {Object} 返回json-rpc格式结果
"""
query = dict(ctx.query)
config_plus = {}
if "field" in query:
field = query.pop("field")
config_plus["field"] = field
obj = self.service.Get_obj(query, obj_update(self.config, config_plus))
if self.service.error:
return {"error": self.service.error}
if obj:
self.interact_obj(ctx, obj)
return {"result": {"obj": obj}}
第6章系统测试
6.1测试目的
对任何系统而言,测试都是必不可少的环节,测试可以发现系统存在的很多困难,所有的软件上线之前,都应该进行充足的测试之后才能保证上线后不会Bug频发,或者是功能不满足需求等障碍的发生。下面分别从单元测试,功能测试和用例测试来对系统进行测试以保证系统的稳定性和可靠性。
6.2功能测试
下表是架构登录功能测试用例,检测了用户名和密码的不同的输入情况,观察系统的响应情况。得出该功能达到了设计目标。
表6-1 系统登录功能测试用例
功能描述 | 用于系统登录 | |
测试目的 | 检测登录时的合法性检查 | |
测试数据以及操作 | 预期结果 | 实际结果 |
输入的用户名和密码带有非法字符 | 提示用户名或者密码错误 | 与预期结果一致 |
输入的用户名或者密码为空 | 提示用户名或者密码错误 | 与预期结果一致 |
输入的用户名和密码不存在 | 提示用户名或者密码错误 | 与预期结果一致 |
输入正确的用户名和密码 | 登录成功 | 与预期结果一致 |
下表是注册功能测试用例,检测了各种内容的输入情况,观察平台的响应情况。得出该功能达到了设计目标。
表6-2 注册效果测试用例
功能描述 | 用于用户注册 | |
测试目的 | 检测用户注册时的合法性检查 | |
测试数据以及操作 | 预期结果 | 实际结果 |
输入的手机号不合法 | 提示请输入正确的手机号码 | 与预期结果一致 |
输入的字段为空 | 提示必填项不能为空 | 与预期结果一致 |
输入的密码少于6位 | 提示密码必须为6-12位 | 与预期结果一致 |
输入的密码大于12位 | 提示密码必须为6-12位 | 与预期结果一致 |
下表是房屋信息功能的测试用例,检测了房屋信息的增加,删除,修改,查询操作是否成功运行。观察系统的响应情况,得出该功能也达到了设计目标,平台运行正确。
前置条件;用户登录系统。
表6-3 房屋信息的测试用例
功能描述 | 用于房屋信息 | |
测试目的 | 检测房屋信息时的各种操作的运行情况 | |
测试数据以及操作 | 预期结果 | 实际结果 |
点击添加房屋信息,必填项合法输入,点击保存 | 提示添加成功 | 与预期结果一致 |
点击添加房屋信息,必填项输入不合法,点击保存 | 提示必填项不能为空 | 与预期结果一致 |
点击修改房屋信息,必填项修改为空,点击保存 | 提示必填项不能为空 | 与预期结果一致 |
点击修改房屋信息,必填项输入不合法,点击保存 | 提示必填项不能为空 | 与预期结果一致 |
点击删除房屋信息,选择房屋信息删除 | 提示删除成功 | 与预期结果一致 |
点击搜索房屋信息,输入存在的房屋类型 | 查找出房屋信息 | 与预期结果一致 |
点击搜索房屋信息,输入不存在的房屋类型 | 不表现房屋信息 | 与预期结果一致 |
使用阿里云PTS(Performance Testing Service)性能测试服务对线上平台进行压力测试。线上服务器环境为:1核心CPU,1G内存,1Mbps公网带宽,Centos7.0操作系统。
通过有40个用户并发时,数据管理相关页面的响应时间甚至达到了7s,通过查看服务器出网流量发现已经达到1381kb/s,能够看出服务器的带宽已经达到峰值,倘若系统利用5Mbps的带宽,系统的响应时间和TPS将会大大增加。在整个测试的过程中,CPU的使用率占用仅8%,也提现出带宽瓶颈对系统的影响非常严重。就是压测过程中运用了2台并发机器,每台机器20个用户并发,对系统主页,登录,资料查询和资料维护等模块进行并发访问,测试结果
第7章总结与展望
本论文设计并构建了一个基于Flask框架的不动产租赁业务管理系统,该框架通过Python编程语言和MySQL数据库的应用,成功地为租客、房东和管理员提供了高效、便捷的房产租赁服务平台。系统效果涵盖了租赁信息管理、用户互动、订单处理以及后台管理等方面,旨在提高租赁过程的透明度、便捷性和安全性。
通过Flask框架的轻量化特性和Python的强大协助,系统具有灵活的功能扩展性和高效的开发周期,能够在短时间内满足业务需求并方便后期维护。MySQL数据库的使用保证了数据的稳定存储与高效访问,确保系统在处理大量数据时能够保持良好的性能。
框架的设计充分考虑了不同用户角色(租客、房东和管理员)的需求,提供了相应的功能模块,以实现信息管理和运行的个性化与智能化。在安全性方面,系统采用了先进的身份验证机制(如JWT)和数据加密存储技术,确保了用户信息的安全性和隐私保护。
尽管系统在能力上已经具备了良好的完整性和实用性,但仍有进一步改进的空间。例如,未来可以加入智能推荐系统、移动端优化、更多的支付接口集成等作用,以更好地满足用户需求并提升框架的市场竞争力。
综上所述,本系统为不动产租赁行业提供了一种高效、安全、易于维护的管理平台,具有较高的实际应用价值,并为今后的业务拓展和效果升级提供了坚实的基础。
参考文献
- 郦昕昕.基于B/S模式的人事管理系统设计与实现[J].集成电路应用,2024,41(05):246-247.
- 赵惠.基于B/S模式的实验室管理系统设计和实现[J].中国新通信,2023,25(21):72-74.
- 王朝辉.基于Flask框架的测试集成系统设计与实现[J].科技创新与应用,2024,14(33):115-118.
- 王晓雷,王钱庆,王鲜芳.基于Flask数据可视化的网页端显示方法研究[J].无线互联科技,2024,21(15):10-13+20.
- 赵媛.基于Vue的Web框架前端性能优化分析[J].电脑编程技巧与维护,2024,(09):44-46.
- 秦冬.浅析Vue框架在前端开发中的应用[J].信息与电脑(理论版),2024,36(13):61-63.
- 李艳杰.MySQL数据库下存储过程的综合运用研究[J].现代信息科技,2023,7(11):80-82+88.
- 马艳艳,吴晓光.计算机软件与数据库的设计策略分析[J].电子技术,2024,53(05):104-105.
- 李俊萌.计算机软件测试技术与开发应用策略分析[J].信息记录材料,2023,24(03):50-52.
- Nikahat M ,Prachi G .Leveraging well-formedness and cognitive level classifiers for automatic question generation on Java technical passages using T5 transformer[J].International Journal of Information Technology,2023,15(4):1961-1973.
- Surya H I P ,Imam B ,Wiwandari H .Land use change and precipitation implication to hydro-meteorological disasters in Central Java: an overview[J].International Journal of Disaster Resilience in the Built Environment,2023,14(1):100-114.
- 张佳佳.房屋租赁推荐体系的研究与达成[D].西京学院,2022.
- 闫银娟.基于SSM的房屋租赁系统的设计与实现[J].电脑知识与技术,2022,18(33):38-41.
- 魏子钦,梁艳美,单豫洲.基于JavaEE的房屋租赁系统[J].信息与电脑(理论版),2021,33(24):137-139.
- 刘文卓.基于区块链的房屋租赁系统的设计与完成[D].华中科技大学,2022.
- 王馨.基于数据挖掘的房屋租赁管理系统设计与实现[D].哈尔滨理工大学,2021.
- 唐苏旭.基于SpringBoot的房屋租赁环境的设计与实现[D].首都经济贸易大学,2021.
- 李苗苗.房屋租赁合同要件检测算法研究与框架实现[D].中南财经政法大学,2021.
- 陈湘瑾,孙瑜鸿,祖子帅等.基于JSP开发技术的信息化房屋租赁体系[J].科学技术创新,2021,(09):106-107.
- 姜子旋.基于web的房屋租赁系统的设计与构建[D].华中科技大学,2020.
致谢
本次设计历时3个月。在该毕业设计中,离不开指导教师的指导,使事情基本顺利。指导老师无论是在毕业设计历经中,还是在论文做完中都给了了我独特大的助益。另1个方面,教师认真负责的工作姿态,谨慎的教学精神厚重的理论水准都使我获益匪浅。他勤恳谨慎的教学育人学习姿态也给我留下了特别特别深的感觉。我从老师那里学到了很多东西。在理论和实践中,我的技能得到了特别大的提高。在此,特向教师表示由衷的感激。
经过对该毕业设计的全部研究和编写,我的系统研发经历了从需求分析到实现详细功能,再到最终测试和维护的特殊进展。让我对系统研发有了更深层次的认识。如今我的动手本领单独处理疑惑的本领也获取到了特别大的演练学习增多,这是这次毕业设计最好的收获。
最后,在整个系统开发过程中,我周围的同学和朋友给了我很多意见,于是我很快就确认了系统的商业思想。在次,我由衷的向他们表示感激。

浙公网安备 33010602011771号