pyyzDay5
大炮(DP)
T1 [COCI 2022/2023 #5] Slastičarnica


T2 AND Segments

T3 [XJTUPC 2024] 最后一块石头的重量
2个小结论
Dp+随机化
#include<iostream>
#include<cstdio>
#include<cstdlib>
#include<cstring>
#include<cmath>
#include<algorithm>
#include<iomanip>
#include<bits/stdc++.h>
#define int long long
#define jiaa(a,b) {a+=b;if(a>=MOD) a-=MOD;}
#define jian(a,b) {a-=b;if(a<0) a+=MOD;}
using namespace std;
int ksm(int a,int b,int p){
if(b==0) return 1;
if(b==1) return a%p;
int c=ksm(a,b/2,p);
c=c*c%p;
if(b%2==1) c=c*a%p;
return c%p;
}
inline int read()
{
int x=0,f=1;char ch=getchar();
while (ch<'0'||ch>'9'){if (ch=='-') f=-1;ch=getchar();}
while (ch>='0'&&ch<='9'){x=x*10+ch-48;ch=getchar();}
return x*f;
}
int a[10005];
bitset<1000005> dp[2];//注意数值有正有负,二倍数组
signed main()
{
//freopen("filename.in", "r", stdin);
//freopen("filename.out", "w", stdout);
srand(time(0));
int n=read();
for(int i=1;i<=n;i++) a[i]=read();
random_shuffle(a+1,a+n+1);
dp[0][0]=1;
for(int i=1;i<=n;i++){
int f=i&1^1;
int g=i&1;
dp[g]=(dp[f]<<a[i])|(dp[f]>>a[i]);
for(int j=a[i];j;j--){
dp[g][a[i]-j]=dp[g][a[i]-j]|dp[f][j];
}
}
for(int i=0;i<=1000000;i++){
if(dp[n&1][i]){
cout<<i<<'\n';
return 0;
}
}
return 0;
}
T4 The Maximum Prefix
计数Dp
反转进行转移
T5 [ARC170C] Prefix Mex Sequence
考虑有几种数
#include<iostream>
#include<cstdio>
#include<cstdlib>
#include<cstring>
#include<cmath>
#include<algorithm>
#include<iomanip>
#include<bits/stdc++.h>
#define int long long
#define jiaa(a,b) {a+=b;if(a>=MOD) a-=MOD;}
#define jian(a,b) {a-=b;if(a<0) a+=MOD;}
using namespace std;
int ksm(int a,int b,int p){
if(b==0) return 1;
if(b==1) return a%p;
int c=ksm(a,b/2,p);
c=c*c%p;
if(b%2==1) c=c*a%p;
return c%p;
}
inline int read()
{
int x=0,f=1;char ch=getchar();
while (ch<'0'||ch>'9'){if (ch=='-') f=-1;ch=getchar();}
while (ch>='0'&&ch<='9'){x=x*10+ch-48;ch=getchar();}
return x*f;
}
const int MOD=998244353;
int s[5005],ans;
int dp[5005][5005];
signed main()
{
//freopen("filename.in", "r", stdin);
//freopen("filename.out", "w", stdout);
int n=read(),m=read();
for(int i=1;i<=n;i++) s[i]=read();
if(m>=n){
ans=1;
for(int i=1;i<=n;i++){
if(!s[i]) ans=ans*m%MOD;
}
cout<<ans<<'\n';
return 0;
}
dp[0][0]=1;
for(int i=1;i<=n;i++){
for(int j=1;j<=m+1;j++){
if(s[i]) dp[i][j]=dp[i-1][j-1];
else{
dp[i][j]=dp[i-1][j]*j%MOD+dp[i-1][j-1]*(m-j+1)%MOD;
dp[i][j]%=MOD;
}
}
}
for(int j=1;j<=m+1;j++){
ans+=dp[n][j];
ans%=MOD;
}
cout<<ans<<'\n';
return 0;
}
T6 [COCI 2021/2022 #2] Magneti

#include<iostream>
#include<cstdio>
#include<cstdlib>
#include<cstring>
#include<cmath>
#include<algorithm>
#include<iomanip>
#include<bits/stdc++.h>
#define int long long
#define jiaa(a,b) {a+=b;if(a>=MOD) a-=MOD;}
#define jian(a,b) {a-=b;if(a<0) a+=MOD;}
using namespace std;
const int MOD=1000000007;
int ksm(int a,int b,int p){
if(b==0) return 1;
if(b==1) return a%p;
int c=ksm(a,b/2,p);
c=c*c%p;
if(b%2==1) c=c*a%p;
return c%p;
}
inline int read()
{
int x=0,f=1;char ch=getchar();
while (ch<'0'||ch>'9'){if (ch=='-') f=-1;ch=getchar();}
while (ch>='0'&&ch<='9'){x=x*10+ch-48;ch=getchar();}
return x*f;
}
int fac[5000006],infac[5000006],inv[5000006];
int C(int n,int m){
return fac[n]*infac[m]%MOD*infac[n-m]%MOD;
}
int r[55],dp[55][55][10005];
signed main()
{
//freopen("filename.in", "r", stdin);
//freopen("filename.out", "w", stdout);
int N=5000000;
fac[0]=1;
for(int i=1;i<=N;i++){
fac[i]=fac[i-1]*i%MOD;
fac[i]%=MOD;
}
infac[N]=ksm(fac[N],MOD-2,MOD);
for(int i=N-1;i>=0;i--){
infac[i]=infac[i+1]*(i+1)%MOD;
}
int n=read(),l=read();
for(int i=1;i<=n;i++){
r[i]=read();
}
sort(r+1,r+n+1);
dp[0][0][0]=1;
for(int i=1;i<=n;i++){
for(int j=1;j<=i;j++){
for(int k=1;k<=l;k++){
dp[i][j][k]+=dp[i-1][j-1][k-1];
dp[i][j][k]%=MOD;
if(k>=r[i]) dp[i][j][k]+=2*j%MOD*dp[i-1][j][k-r[i]]%MOD;
dp[i][j][k]%=MOD;
if(k>2*r[i]) dp[i][j][k]+=j*(j+1)%MOD*dp[i-1][j+1][k-2*r[i]+1]%MOD;
dp[i][j][k]%=MOD;
}
}
}
int ans=0;
for(int i=1;i<=l;i++){
ans+=dp[n][1][i]*C(l-i+n,n)%MOD;;
ans%=MOD;
}
cout<<ans<<'\n';
return 0;
}
T7 [ARC146E] Simple Speed
值域Dp
区间连续段DP

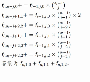
T8 [CSP-S 2021] 括号序列
开三个DP数组
T9 And Reachability
考虑拆位进行DP
#include<iostream>
#include<cstdio>
#include<cstdlib>
#include<cstring>
#include<cmath>
#include<algorithm>
#include<iomanip>
#include<bits/stdc++.h>
#define int long long
#define jiaa(a,b) {a+=b;if(a>=MOD) a-=MOD;}
#define jian(a,b) {a-=b;if(a<0) a+=MOD;}
using namespace std;
int ksm(int a,int b,int p){
if(b==0) return 1;
if(b==1) return a%p;
int c=ksm(a,b/2,p);
c=c*c%p;
if(b%2==1) c=c*a%p;
return c%p;
}
inline int read()
{
int x=0,f=1;char ch=getchar();
while (ch<'0'||ch>'9'){if (ch=='-') f=-1;ch=getchar();}
while (ch>='0'&&ch<='9'){x=x*10+ch-48;ch=getchar();}
return x*f;
}
int a[300005];
int pos[300005][25],dp[300005][25];
signed main()
{
//freopen("filename.in", "r", stdin);
//freopen("filename.out", "w", stdout);
int n=read(),q=read();
for(int i=1;i<=n;i++) a[i]=read();
for(int i=1;i<=n;i++){
for(int j=0;j<=20;j++){
if(a[i-1]>>j&1){
pos[i][j]=i-1;
}
else pos[i][j]=pos[i-1][j];
}
}
for(int i=1;i<=n;i++){
for(int j=0;j<=20;j++){
for(int k=0;k<=20;k++){
if(!(a[i]>>k&1)) continue;
if(a[pos[i][k]]>>j&1) dp[i][j]=max(dp[i][j],pos[i][k]);
dp[i][j]=max(dp[i][j],dp[pos[i][k]][j]);
}
}
}
while(q--){
int x=read(),y=read();
int ff=0;
for(int j=0;j<=20;j++){
if(dp[y][j]>=x&&a[x]>>j&1){
cout<<"Shi"<<'\n';
ff=1;
break;
}
}
if(!ff) cout<<"Fou"<<'\n';
}
return 0;
}
T10

预处理+倍增询问

T11 [NOI Online #3 提高组] 魔法值
转化成矩阵快速幂
二进制拆位

浙公网安备 33010602011771号