双线领航 双项第一!GBase数据库为金融数字化保驾护航
在金融行业数字化转型步入深水区的今天,数据库的选择已不再是单一的技术命题,更是关乎业务连续性、数据安全与创新能力的战略基石。近日,赛迪顾问发布的《中国金融数据库市场研究报告》为这一领域提供了权威解读,清晰印证了一个市场共识:GBASE南大通用是唯一一家分布式与集中式数据库均位居金融业(包含银行业、保险业)领导者象限,同时取得金融业用户渗透率第一、云数仓市场占有率第一的“双第一”成绩,展现出作为金融级数据库市场“全栈数据库领导者厂商”的强劲实力。
01.全栈布局与规模落地:双线领航的实践印证

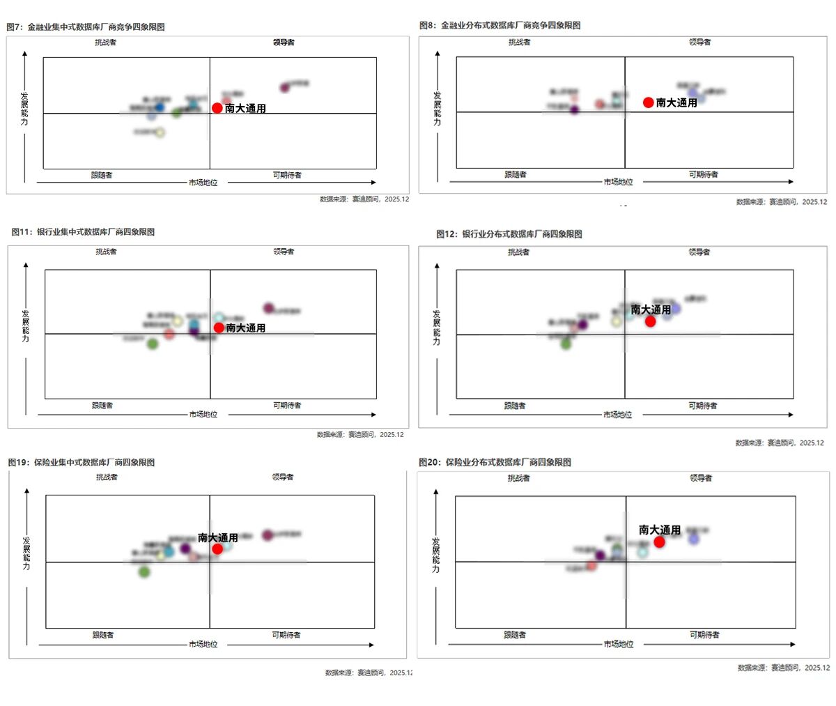
报告显示,在金融业、银行业及保险业的集中式与分布式数据库厂商四象限图中,GBASE南大通用均稳居“领导者”象限。基于这一“双强”格局,GBase数据库能够为金融机构提供覆盖交易处理、数据仓库、实时分析等全域场景的一体化数据底座,从技术上支撑业务从“稳态”核心到“敏态”创新的无缝演进。

与此同时,GBase数据库已在金融行业实现规模化落地。报告以某国有大行数据仓库建设为例,体现了GBase数据库在关键系统中的深度应用能力。目前,GBase数据库已覆盖金融主管单位、政策性银行、国有大行、股份制银行、城商行、农商行、农信社及保险、证券等各类机构270余家。广泛的客户覆盖与多类型的业务实践,共同构筑了GBase数据库在金融领域扎实的市场基础与信任体系。
02. 两大“第一”铸就,“双料冠军”核心含金量

“双料冠军”的核心内涵,具体体现在两个关键市场维度上:
金融行业用户渗透率第一:作为最早在金融行业实现大规模商用的国产数据库厂商,GBASE南大通用长期深耕,积累了从主管单位、银行、保险、证券、泛金融头部到众多中小金融机构的广泛客户群,形成了用户数量与场景质量并重的深度市场覆盖。
云数仓市场占有率第一:在代表未来方向的云化、智能化赛道上,GBase数据库独有的云数仓GCDW已率先在数个国有大行实现规模化应用,在金融云数仓这一关键领域确立了市场主导地位。
赛迪报告的权威洞察,不仅是对GBASE南大通用全栈技术实力与行业深耕的客观呈现,更是对金融行业数字化路径的一次清晰揭示:真正的安全可靠,来自于经过最严苛场景验证的全栈能力;真正的自主可控,植根于对行业最深刻理解与最广泛连接的生态之中。选择GBase数据库,即是选择了一个与中国金融业共同成长、并肩前行的坚实伙伴。

浙公网安备 33010602011771号