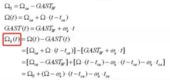
星历参数之Ω0-参考时刻升交点赤经与GPS周开始时格林尼治赤经(GASTw)之差
唯独Ω0不是参考时刻toe时刻的轨道参数,而是
Ω0 = Ωtoe(参考时刻的值) - GASTw(这个星期开始时刻的格林尼治的真恒星时),Ω0 它是二者的差数
格林尼治的真恒星时指的是如下图中的角度
从春分点起,G点为格林尼治的零子午线与地球赤道的交点,由于地球在自转,格林尼治的零子午线也会不断自转,它变化的角速度为we它为常数,如果知道了这个星期天的0:0:0起始时刻G点与春分点之间的夹角GASTw给出了,由于随着地球的自转会不断的发生变化,变化的角速度为地球自转的角速度we,那么任何一个时刻的GASTw的角度也可以算出来的,
任何时刻升交点赤经Ω(t)=Ωtoe +Ω(的角速度,它上面还有一点不好写出来) *(t - toe);
任何时刻的格林尼治的真恒星时也会发生变化
GAST(t)=GASTw(这个星期开始时刻的格林尼治的真恒星时) + we (地球平均自转角速度)*t;(t时这个星期经历的时间)
设we为地球自转角速度,Ωk(t)为升交点经度,Ω(t)为升交点赤经,则
Ωk(t) = Ω(t) - GAST(t) (经度是从格林尼治零子午线算起的)


红框部分是升交点在大地系统中的经度
浙公网安备 33010602011771号