LeetCode Hot100刷题记录-206. 反转链表
206. 反转链表
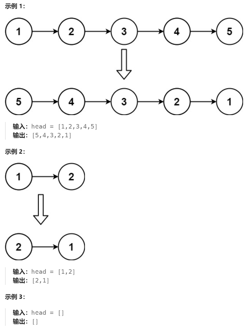
题目描述:给你单链表的头节点 head ,请你反转链表,并返回反转后的链表。

这道题要用到两个指针,一个current指向当前节点,另一个prev指向当前节点的上一个节点。
首先让current指向头节点head,prev指向head的前一个也就是null,这里要用next变量来暂时存储current的下一个节点,即next = current.next。为什么呢?因为避免断链,一旦我们对current和prev指针反转之后,才可以找到原来current的next节点,不然next节点就丢失啦。
整体的思路是这样的:
- 保存next
- 反转指针
- 移动prev指针指向当前节点
- 移动current指针指向当前节点的下一个节点
继续处理下一个节点
保存next-反向current-后移prev-后移current
var reverseList = function(head) {
let prev = null; // 前一个节点,初始时为null
let current = head; // 当前节点,从head开始
while (current !== null) {
let next = current.next; // 先保存下一个节点,避免链表断开
current.next = prev; // 当前节点的next指向前一个节点,实现反转
prev = current; // prev前移,指向当前节点
current = next; // current前移,处理下一个节点
}
return prev; // 返回新的头节点,已经反转
};
浙公网安备 33010602011771号