朴素贝叶斯分类算法原理(通俗易懂)
解决分类问题时,需要根据他们各自的特征来进行判断,比如区分“一对双胞胎不同之处”,虽然他们看起来相似,但是我们仍然可以根据细微的特征,来区分他们,并准确地叫出他们的名字。就像一句非常有哲理的话,“世界上没有完全相同的两片树叶”,因此被分类的事物会存在许多特征。
比如现在有 A1 和 A2 两个类,其中 A1 具有 b、c 两个特征,A2 具有 b、d 两个 特征,如果是你会怎么区分这两个类呢?很简单看看是存在 c ,存在的就是 A1,反之则是 A2。但是现实的情况要复杂的多,比如 100 个 A1样本中有 80% 的样本具有特征 c,而且剩余的 20% 具有了特征 d,那么要怎么对它们分类呢?其实只要多加判断还是可以分清,不过要是纯手工分类,那就恐怕得不偿失了。
下面我们使统计学的相关知识解决上述分类问题,分类问题的样本数据大致如下所示:
上述思路就是贝叶斯定理的典型应用,如果使用条件概率表达,如下所示:
每个类与特征的似然度是不同的,也就是 P(xi|y) 不同,因此某一类别中某个特征的概率越大,我们就更容易对该类别进行分类。根据求解后验概率的公式,可以得出以下优化方法:
此时将后验概率记做类别 y,我们知道 P(y) 是一个固定的概率值,因此要想让 y 取得最大值,只能通过 P(xi|y) 实现,不妨把被统计的数据看成是一张大表格,朴素贝叶斯算法就是从中找到 P(xi|y) 值最大的那一项,该项对应的 y 是什么,则最终输出的预测结果就是什么。
比如现在有 A1 和 A2 两个类,其中 A1 具有 b、c 两个特征,A2 具有 b、d 两个 特征,如果是你会怎么区分这两个类呢?很简单看看是存在 c ,存在的就是 A1,反之则是 A2。但是现实的情况要复杂的多,比如 100 个 A1样本中有 80% 的样本具有特征 c,而且剩余的 20% 具有了特征 d,那么要怎么对它们分类呢?其实只要多加判断还是可以分清,不过要是纯手工分类,那就恐怕得不偿失了。
多特征分类问题
统计学是通过搜索、整理、分析、描述数据等手段,以达到推断、预测对象的本质,统计学用到了大量的数学及其它学科的专业知识,其应用范围几乎覆盖了社会科学和自然科学的各个领域。下面我们使统计学的相关知识解决上述分类问题,分类问题的样本数据大致如下所示:
解决思路:这里我们先简单的采用 1 和 0 代表特征值的有无,比如当 X1 的特征值等于 1 时,则该样本属于 A1 的类别概率;特征值 X2 值为 1 时,该样本属于类别 A1 的类别的概率。依次类推,然后最终算出该样本对于各个类别的概率值,哪个概率值最大就可能是哪个类。[特征 X1 的值,特征 X2 的值,特征 X3 的值,......,类别 A1] [特征 X1 的值,特征 X2 的值,特征 X3 的值,......,类别 A2]
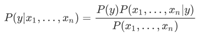
上述思路就是贝叶斯定理的典型应用,如果使用条件概率表达,如下所示:
上述式子表达的意思是:在特征 X1、X2、X3 等共同发生的条件下,类别 A1 发生的概率,也就是后验概率,依据贝叶斯公式,我们可以使用似然度求解后验概率,某个特征的似然度如下:P(类别A1|特征X1,特征X2,特征X3,…)
但是要收集对个特征值共同发生的情况,这并不容易,因此我们就需要使用“朴素”贝叶斯算法。P(特征X1|类别A1,特征X2,特征X3,…)
朴素贝叶斯算法
上一节我们已经了解了贝叶斯公式,下面使用贝叶斯公式将多特征分类问题表达出来,如下所示:
数据集有时并不是很完全的,总会因为某些原因存在一些缺失和收集不全的现象,所以特征 x 越多这个问题就会越突出,统计这些特征出现的概率就越困难。为了避免这一问题,朴素贝叶斯算法做了一个假设,即特征之间相互独立,互不影响,由此以来,就可以简化为以下式子来求解某个特征的似然度:

“朴素贝叶斯算法”利用后验概率进行预测,其核心方法是通过似然度预测后验概率。在使用朴素贝叶斯算法解决分类问题,其实就是不断提高似然度的过程,你可以理解为后验概率正比于似然度,如果提高了似然度,那么也会达到提高后验概率的目的,记做如下式子:

上述式子中
∝表示正比于,而∏则是连乘符号(即概率相乘)表示了不同特征同时发生的概率。朴素贝叶斯优化方法
你也许会发现,在学习过朴素贝叶斯的过程中,我们并内提到“假设函数”和“损失函数”,其实这并不难理解。朴素贝叶斯算法更像是一种统计方法,通过比较不同特征与类之间的似然度关系,最后把似然度最大的类作为预测结果。每个类与特征的似然度是不同的,也就是 P(xi|y) 不同,因此某一类别中某个特征的概率越大,我们就更容易对该类别进行分类。根据求解后验概率的公式,可以得出以下优化方法:


浙公网安备 33010602011771号