会员
众包
新闻
博问
闪存
赞助商
HarmonyOS
Chat2DB
所有博客
当前博客
我的博客
我的园子
账号设置
会员中心
简洁模式
...
退出登录
注册
登录
艾诺洛格_泡尔斯伊
博客园
首页
新随笔
联系
订阅
管理
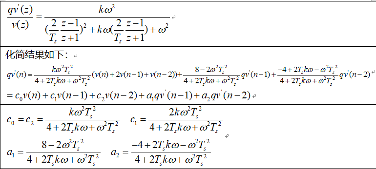
双二阶广义积分器(SOGI)软件锁相(基于双线性变换)推导及实验代码
代码;见上传资源下载《双二阶广义积分器(SOGI)软件锁相(基于双线性变换)代码》
posted @
2022-02-10 21:01
艾诺洛格_泡尔斯伊
阅读(
692
) 评论(
1
)
收藏
举报
刷新页面
返回顶部
公告