电阻温度系数、电阻精度对电阻分压采样电压的影响
结论:电阻的温度系数不影响采样电压精度,电阻的精度会影响电压精度。
计算如下:


因此,温升一致,温度系数一致的情况下,温度系数不会造成采样精度的误差。实际当中的少量不一致,影响可忽略。

1%精度的电阻,会造成最大2%的精度影响
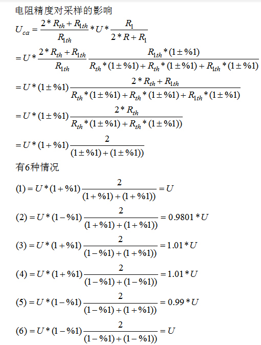
结论:电阻的温度系数不影响采样电压精度,电阻的精度会影响电压精度。
计算如下:


因此,温升一致,温度系数一致的情况下,温度系数不会造成采样精度的误差。实际当中的少量不一致,影响可忽略。

1%精度的电阻,会造成最大2%的精度影响