换汤不换药的二阶谐振控制器三相电网电压锁相
双二阶广义积分器叫的很玄乎,但是他的核心其实是换汤不换药的,对应的传递函数是二阶谐振控制器。
在锁相过程中
1、采集回来的三相电网电压,是原始信号,其中包含了正序分量(50hz左右的正弦波),负序分量(50hz左右的正弦波)和零序分量(直流波形),还有50hz之外的一些干扰电压。
2、将上述原始信号变换到alpha-belta坐标系下面,因为后面的单同步锁相是在alpha-belta的基础上进行的。如下图,粘贴自张兴教授的书:

3、上图的输出是电网电压在alpha-belta的波形,包含了正序分量(50hz左右的正弦波),负序分量(50hz左右的正弦波)和零序分量(直流波形),还有50hz之外的一些干扰电压。我们要提取50hz左右的电网电压正负分量,以后用于后面的单同步锁相。
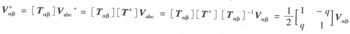
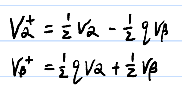
利用提取矩阵如下图:

上面这个式子就是提取正负分量,滤除负序,零序和其他干扰频率的的算法。
相量
中只剩下实时的电网电压正负分量在alpha-belta轴上的波形了。
由上面的算法可知:

上式表明正序的提取需要对原始信号进行90度的相移,但是幅度不变。
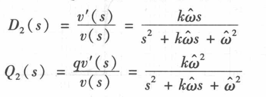
那么二阶谐振控制器就是很好的选择。如下式所示:

上面第一个式子可将输入信号中
角频率对应的正弦原封不动的提取出来,幅值不变,相位不超前也不滞后,把其他的信号全部滤除掉。
上面第二个式子是把输入信号中
角频率对应的正弦幅值不变,相位移动90度后提取出来,把其他的信号全部滤除掉。
在matlab中画下伯德图:
s = tf('s');
Kr = 0.01;
Wo = 2*pi*50;
Gr1 = Kr*Wo*s/(s^2 +Kr*Wo*s + Wo^2);
Gr2 = Kr*Wo^2/(s^2 +Kr*Wo*s + Wo^2);
bode(Gr1),grid;
hold on;
bode(Gr2),grid;
hold on;

可见,在电网评率处,增益是1,倍,相位一个不动,一个相移了90度。
实际当中,电网频率不一定是固定的50HZ,而是50HZ左右轻微抖动,甚至有时候偏差很大,所以这时候实际应该将传递函数中的谐振点改成自适应的。
4、
提取出来后,就好说了,利用单同步锁相环进行PI锁相就行了,具体参看张兴的page411和page430.
需要仿真模型的可私聊我,不过这个模型在csdn和淘宝上有很多,很好找。
浙公网安备 33010602011771号