怎么推导或证明e**x的导数是e**x?
证明ax的导数后令a等于e即可。
后面那个极限为啥是logea ? 链接 证明在比较靠后的地方。
怎么证明:

而不是用"根据定义"蒙混过去?第二个重要极限的证明 e怎么出来的_p312011150的博客

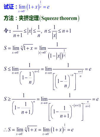
Squeeze theorem也叫夹逼定理,两面夹法则、三明治定理等。有没有别的证明方法?链接


好像还差点:
- 方法1假设有极限,怎么知道它是个数而不是无穷?
- 方法2ln咋去掉的,会不会和ex有关,那岂不成了循环论证了?
证明ax的导数后令a等于e即可。
后面那个极限为啥是logea ? 链接 证明在比较靠后的地方。
怎么证明:

而不是用"根据定义"蒙混过去?第二个重要极限的证明 e怎么出来的_p312011150的博客

Squeeze theorem也叫夹逼定理,两面夹法则、三明治定理等。有没有别的证明方法?链接


好像还差点: