sinx求导挺好玩的
sin(x+d) - sin(x) = sin(x)cos(d) + sin(d)cos(x) - sin(x) = sin(x)[1 - cos(d)] + sin(d)cos(x)
sin(d) / d的极限是1比较容易蒙混过关。两个都很小的数相除。[证明]

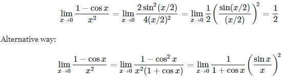
d趋近0时cos(d)趋近1, 1 - cos(d)趋近0是没错的。[1 - cos(d)] / d 的极限为啥不是1?
趋近有快慢之分。
calculus - Finding the limit of $(1-\cos x)/x^2$ - Mathematics Stack Exchange

我得到的教训是:既不要被吓得不敢学,产生盲目崇拜心理,也不能觉得"不就是个这,easy"。少看点文科生写的媒体文章(某某某有经天纬地之才),多学点数学,just study it,能学多少算多少。

浙公网安备 33010602011771号