Java数组06:二维数组

二维数组:

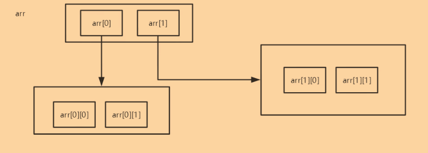
- 多维数组可以看成是数组的数组,比如二维数组就是一个特别的一堆数组,其每一个元素都是一个一维数组。
- 二维数组
int a[][]= new int[2][5];
//解析:以上二维数组a可以看出一个两列五行的数组。

数组下标的使用:
int a[10];这是一个整数型的数组a,有10个元素:a[0]-a[9],
二维数组代码示例:(解析单个二维数组表示 和 全部遍历)
package com.wenjian.array;
public class ArrayDemo05 {
public static void main(String[] args) {
/**
* [3][2] 三行两列
* arr[0] 1,2 //arr[0]就存了这样一个数组 1,2 ,arr[0]输出是一个对象,代表1,2
* arr[1] 2,3
* arr[2] 3,4
*/
int[][] num1 = {{1, 2}, {2, 3}, {3, 4}};
System.out.println(num1[0][0]);
System.out.println(num1[0][1]);
System.out.println(num1.length); //3
System.out.println(num1[0].length); //2 ,二维的可以看成在里面拆分了两个,长度是2
System.out.println("===============");
/**
* 全部遍历
*/
for (int i = 0; i < num1.length; i++) {
for (int j = 0; j < num1[i].length; j++) {
System.out.println(num1[i][j]);
}
}
}
}
输出:
1
2
3
2
===============
1
2
2
3
3
4
进程已结束,退出代码 0

浙公网安备 33010602011771号