机器学习中常用的几种距离度量方法
常用的距离度量方法
距离度量方法主要用于计算给定问题空间中两个数据之间的差异,即数据集中的特征。 然后可以使用该距离来确定特征之间的相似性, 距离越小特征越相似。

以上分别是欧氏距离、曼哈顿举例、切比雪夫距离、闵可夫斯基距离、余弦距离、哈弗辛距离、汉明距离、杰卡德距离、索伦森-戴斯距离、动态时间规整。
距离度量的作用
通过合理选择和应用距离度量方法,可以提高数据分析和机器学习任务的效果和准确性:
- 数据聚类:距离度量在聚类算法(如K-means、层次聚类)中用于衡量数据点之间的相似性或差异性,帮助确定聚类的中心和边界。
- 分类问题:在K最近邻(K-NN)等分类算法中,距离度量用于计算待分类点与已知类别点的距离,以确定待分类点的类别。
- 降维:在多维标度法(MDS)和主成分分析(PCA)等降维技术中,距离度量用于保留数据点之间的相对距离,帮助在低维空间中重构高维数据。
- 异常检测:距离度量可用于检测数据中的异常点,通过计算数据点到中心或其他点的距离来判断其是否为异常值。
- 信息检索:在文本检索和推荐系统中,距离度量用于计算查询向量与文档向量之间的相似度,以返回最相关的文档或推荐内容
- 图像处理:在图像分类、分割等任务中,距离度量用于衡量图像特征向量之间的相似性,帮助识别和处理图像内容。
欧氏距离(Euclidean distance)

欧氏距离(Euclidean distance,也叫欧几里得距离或L2距离)以古希腊数学家欧几里得命名的距离度量方式,基于勾股定理计算,是最常见的距离度量方法之一,直观解释就是计算多维空间中两点的直线距离。计算公式如下所示:

上述公式表示计算在点x和点y在n维空间中的直线距离:
- D(x,y)表示计算点x和点y之间的欧氏距离。
- n表示空间的维度,即点x或点y的坐标数量。
- (xi-yi)2表示点x和点y在第 i维空间上的坐标差值的平方
- ∑表示对所有维度上的坐标差进行求和。
代码实现如下:
"""原生实现"""
def original_euclidean_distance(x, y):
distance = 0
for i in range(len(x)):
distance += (x[i] - y[i])**2
return distance**0.5
x = [1,2,3]
y = [4,5,6]
print(original_euclidean_distance(x,y))
"""基于numpy"""
import numpy as np
def euclidean_distance(x, y):
"""欧氏距离"""
return np.sqrt(np.sum((np.array(x) - np.array(y))**2))
x = [1,2,3]
y = [4,5,6]
print(euclidean_distance(x,y))
"""基于scipy"""
from scipy.spatial import distance
x = [1,2,3]
y = [4,5,6]
print(distance.euclidean(x, y))
优点:
- 几何直观:欧氏距离直观地表示了两点之间的直线距离,易于理解和可视化。
- 简单高效:计算简单,可以快速地在各种应用中实现。
- 广泛适用:适用于许多领域,如机器学习、计算机视觉、地理信息系统等。
- 数学性质良好:满足三角不等式,是真正意义上的度量(metric)。
- 与欧氏空间兼容:在欧氏空间中,欧氏距离是最短路径,这使得它在许多几何和物理问题中非常自然。
缺点:
- 对异常值敏感:由于欧氏距离是平方和的平方根,它对异常值(outliers)非常敏感。
- 不适用于高维空间:在高维空间中,欧氏距离可能会退化,导致所谓的“维度灾难”,距离的区分度降低。
- 尺度敏感:如果特征的尺度差异很大,欧氏距离可能会受到较大特征的影响,忽略较小特征的影响。
- 不适合非欧氏空间:在非欧氏空间(如球面或双曲空间)中,欧氏距离不适用。
- 计算成本:在大规模数据集上计算欧氏距离可能非常耗时,尤其是在需要频繁计算最近邻时。
适用场景:
- 低维空间:在二维或三维空间中,欧氏距离是一个很好的选择,因为它直观且计算简单。
- 特征尺度一致:当所有特征具有相似的尺度时,欧氏距离可以很好地工作。
- 聚类分析:在K-means等聚类算法中,欧氏距离是常用的距离度量。
- 最近邻搜索:在K-nearest neighbors(KNN)算法中,欧氏距离常用于找到最近的邻居点。
- 多维空间的降维:在PCA(主成分分析)等降维技术中,欧氏距离有助于识别数据的主要方向。
- 计算机视觉:在图像处理和计算机视觉中,欧氏距离可以用来衡量图像之间的相似性。
曼哈顿距离(Manhattan distance)

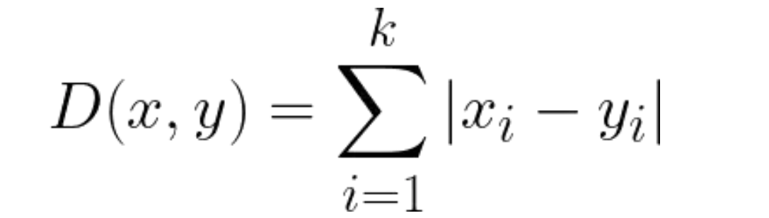
曼哈顿距离(Manhattan Distance,也叫城市街区距离、出租车距离、L1距离),来源于美国纽约市的曼哈顿区,表示两个点在标准坐标系上的绝对轴距总和,直观解释就是计算在标准坐标系中两点沿着坐标轴移动的距离。计算公式如下所示:

上述公式表示计算在点x和点y在k维空间中的直线距离:
- D(x,y)表示计算点x和点y之间的曼哈顿距离。
- k表示空间的维度,即x点或y点的坐标数量。
- |xi-yi|表示点x和点y在第 i维空间上的坐标差值的绝对值。
- ∑表示对所有维度上的坐标差进行求和。
代码实现如下:
"""原生实现"""
def original_manhattan_distance(x, y):
"""曼哈顿距离"""
distance = 0
for i in range(len(x)):
distance += abs(x[i] - y[i])
return distance
x = [1,2,3]
y = [4,5,6]
print(original_manhattan_distance(x,y))
"""基于numpy"""
import numpy as np
def manhattan_distance(x, y):
"""曼哈顿距离"""
return np.sum(np.abs(np.array(x) - np.array(y)))
x = [1,2,3]
y = [4,5,6]
print(manhattan_distance(x,y))
"""基于scipy"""
from scipy.spatial import distance
x = [1,2,3]
y = [4,5,6]
print(distance.cityblock(x, y))
优点
- 对尺度不敏感: 曼哈顿距离对不同维度的尺度变化不敏感,即便各维度的单位不同,距离计算结果仍具有可靠性。
- 计算简单:曼哈顿距离的计算比欧氏距离简单,因为它只涉及绝对值和求和操作,无需进行平方和开平方操作。
- 适用于网格状路径:在城市规划、机器人路径规划等网格状布局的应用中,曼哈顿距离更加符合实际路径长度。
缺点
- 不考虑方向:曼哈顿距离只考虑各维度上的差值绝对值,忽略了数据点之间的方向信息,这在某些应用中可能导致信息丢失。
- 不适用于高维空间:在高维空间中,曼哈顿距离可能不如欧氏距离直观,并且随着维度增加,距离的分布可能变得更加稀疏。
- 对异常值敏感:曼哈顿距离对数据中的异常值(outliers)敏感,这些异常值会显著影响距离的计算结果。
适用场景:
- 路径规划:在城市交通规划和机器人路径规划中,曼哈顿距离可以用来估计从起点到终点的最短路径长度,特别是在只能沿着水平或垂直方向移动的情况下。
- 图像处理:在图像处理中,曼哈顿距离用于测量像素之间的差异,例如在图像分割和模式识别中。
- 机器学习:在机器学习中,曼哈顿距离常用于最近邻算法(k-NN)和聚类算法(如k-means)中,用以衡量样本之间的相似性。
- 数据挖掘:曼哈顿距离适用于数据挖掘和机器学习,如在k近邻(KNN)算法中计算样本之间的距离。
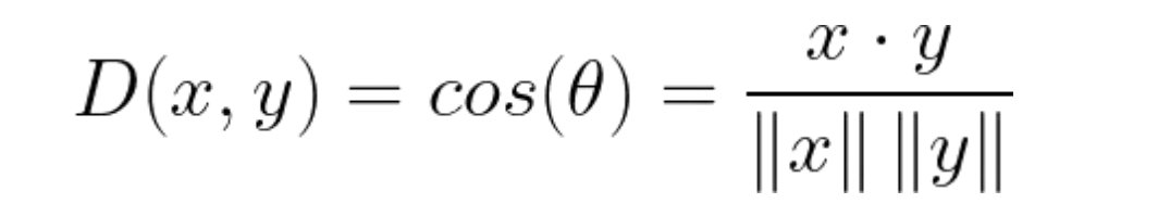
余弦距离(Cosine Distance)

余弦距离(Cosine Distance)是基于余弦相似度(Cosine Similarity)的一种距离度量方法,用于衡量两个向量之间的相似性。它通过计算两个向量之间的夹角余弦值,反映向量方向上的差异,而不考虑向量的大小。余弦距离经常被用作解决高维欧几里得距离问题,例如文本分析、信息检索等高维空间的应用场景。计算公式如下所示:

余弦相似度的取值范围是 ([-1, 1]),其中1表示向量完全同向,-1表示完全反向,0表示两向量正交(即相互独立)。上述公式表示计算在点x和点y在方向上的余弦距离:
- D(x,y):表示向量x和向量y之间的余弦距离或余弦相似度。
- cos(θ):表示向量 x和向量y之间的夹角θ的余弦值。
- x⋅y:表示向量x和向量x的点积(内积)。
- ∥x∥:表示向量x的范数(长度或模)。
- ∥y∥:表示向量 y的范数(长度或模)。
代码实现如下:
"""原生实现"""
def original_cosine_distance(x, y):
"""
余弦距离
余弦相似度 = 点积 / 模长
"""
# 计算点积
dot_product = sum(a * b for a, b in zip(x, y))
# 计算向量x的模长
norm_x = (sum(a ** 2 for a in x)) ** 0.5
# 计算向量y的模长
norm_y = (sum(b ** 2 for b in y)) ** 0.5
# 计算余弦距离
return 1 - dot_product / (norm_x * norm_y)
x = [1,2,3]
y = [4,5,6]
print(original_cosine_distance(x,y))
"""基于numpy"""
import numpy as np
def cosine_distance(x, y):
"""
余弦距离
余弦相似度 = 点积 / 模长
"""
return 1 - np.dot(x, y) / (np.linalg.norm(np.array(x)) * np.linalg.norm(np.array(y)))
x = [1,2,3]
y = [4,5,6]
print(cosine_distance(x,y))
"""基于scipy"""
from scipy.spatial import distance
x = [1,2,3]
y = [4,5,6]
print(distance.cosine(x, y))
优点
- 尺度无关性:余弦距离只关注向量的方向,而不考虑向量的大小,因此它对特征值的尺度变化不敏感,特别适用于文本分析等场景。
- 直观性:余弦距离的值可以直观地解释为两个向量之间夹角的余弦值,这使得它在解释上较为直观。
- 适用于高维数据: 在高维空间中,可以有效地捕捉向量之间的相似性,而不受维度灾难的影响,并且计算复杂度较低。
缺点
- 对零向量不定义:如果输入向量中存在零向量,则无法计算余弦相似度,进而无法计算余弦距离。
- 忽略向量大小:仅关注向量之间的角度,不能反映向量大小的差异,因此在某些应用中可能无法有效捕捉向量的实际差异。
- 适用场景有限:余弦距离在那些需要考虑向量大小的场景中表现不佳,例如图像分析、物理量度等领域。
- 大规模数据集中表现不佳:虽然余弦距离的计算相对简单,但在处理大规模数据时,计算所有向量对之间的余弦距离可能需要较高的计算资源。
应用场景:
- 文本分析:在自然语言处理中,余弦距离常用于比较文档或查询与文档之间的相似性。
- 推荐系统:在推荐系统中,余弦距离可以用来评估用户或物品之间的兴趣相似性。
- 聚类分析:在聚类算法中,如 K-means,余弦距离可以作为度量样本之间相似性的指标。
- 图像处理:在图像识别和分类任务中,余弦距离可以用来比较图像特征向量之间的相似性。
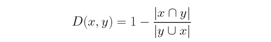
杰卡德距离(Jaccard Distance)
杰卡德距离(Jaccard Distance,也叫雅卡尔距离)是一种用于衡量两个集合之间相异性的度量方法。杰卡德距离是基于杰卡德相似系数(Jaccard Similarity Coefficient,也叫雅卡尔指数、IoU(交并比))来计算得到的。下面为杰卡德相似系数的图示:

杰卡德相似系数主要是通过计算2个集合的交集大小与并集大小之间的比率来衡量相似度,而杰卡德距离则与杰卡德相似系数互补。
杰卡德距离的计算公式如下所示:

杰卡德距离的取值范围从0到1,其中0表示两个集合完全相同,1表示两个集合完全不同。上述公式表示计算在集合x和集合y的杰卡德距离:
- D(x,y):表示集合x和集合y的杰卡德距离,杰卡德距离 = 1 - 杰卡德相似系数。
- ∣x∩y∣:表示集合x和集合y的交集大小,即两个集合中共有元素的数量。
- ∣x∪y∣:表示集合x和集合y的并集大小,即两个集合中所有独特元素的数量。
代码实现如下:
"""原生实现"""
def original_jaccard_distance(x, y):
"""
杰卡德距离[广义jaccard仅用于计算实数数据]
杰卡德距离 = 1 - 杰卡德相似系数
"""
# 计算交集
intersection = set(x).intersection(set(y))
# 计算并集
union = set(x).union(set(y))
# 计算杰卡德相似系数
jaccard_similarity = len(intersection) / len(union)
# 计算杰卡德距离
jaccard_distance = 1 - jaccard_similarity
return jaccard_distance
x = [3, 4, 5, 6]
y = [3, 5, 4, 6]
print(original_jaccard_distance(x,y))
"""基于scipy"""
from scipy.spatial import distance
x = [0, 1, 0, 1]
y = [1, 1, 0, 1]
# scipy提供的jaccard算法,仅用于计算二元数据,属于狭义jaccard
print(distance.jaccard(x, y,))
优点:
- 简单直观,易于理解和计算。
- 尤其适用于衡量二元数据(如标签、集合)之间的差异,因为它只考虑元素的存在与否,通常用于使用二进制或二进制数据的应用程序,例如信息检索、文本分析、推荐系统等领域。
缺点:
- 忽略频次信息:杰卡德距离仅考虑集合中元素的存在与否,而忽略了元素在集合中出现的频次信息,因此在一些需要考虑频次的应用中不够精确。
- 不适用于有序数据:杰卡德距离不考虑数据的顺序信息,对于有序数据或连续数据的比较效果不佳。
- 对小集合敏感:对于元素较少的小集合,杰卡德距离可能过于敏感,即使两个集合只有一个元素不同,也可能导致较大的距离。
应用场景:
- 文本分析:用于比较文档或查询与文档之间的相似性,尤其是在处理词频向量时。
- 推荐系统:评估用户或物品之间的兴趣相似性。
- 数据去重:在数据清洗过程中识别重复记录。
- 图像处理:比较图像特征向量的相似性,用于图像检索或分类。
- 生物信息学:比较基因序列或蛋白质序列的相似性。
汉明距离(Hamming Distance)

汉明距离(Hamming Distance)是一种用于衡量两个等长字符串(或二进制数)之间差异的度量方法。它表示在两个字符串或二进制数对应位置上不同字符的数量,被广泛应用于编码理论、信息学、错误检测与纠正等领域。计算公式如下所示:

上述公式表示计算在等长的两个字符串x和y的汉明距离:
- δ(xi, yi) 是一个指示函数,当xi≠yi时取值为 1,否则为 0。
代码实现如下:
"""原生实现"""
def original_hamming_distance(x, y):
"""
汉明距离
"""
if len(x) != len(y):
raise ValueError("字符串长度必须相等")
# 计算汉明距离
return sum(xi != yi for xi, yi in zip(x, y))
x = "1011101"
y = "1001001"
print(original_hamming_distance(x,y))
"""基于scipy"""
from scipy.spatial import distance
x = "1011101"
y = "1001001"
# 使用scipy提供的hamming函数时,需要将字符串转换为列表或数组形式
print(distance.hamming(list(x), list(y),))
优点:
- 计算简单:汉明距离的计算非常简单,只需要逐个比较对应位置的字符即可,适用于字符串和二进制数的简单比较。
- 适用于错误检测:汉明距离广泛应用于编码理论中的错误检测与纠正,因为它可以准确地指出不同字符的位置和数量。
- 应用广泛:汉明距离在通信、密码学、数据压缩、基因序列分析等领域中有广泛的应用,特别是在测量二进制数据和字符数据的差异时表现出色。
缺点:
- 仅适用于等长字符串:汉明距离要求两个字符串或二进制数必须等长,无法直接应用于长度不同的字符串。
- 忽略了字符的性质:汉明距离只考虑字符是否相同,而忽略了字符之间的实际差异或相似性,这在某些应用中可能不够精确。
- 对连续性变化不敏感:汉明距离无法反映两个字符串之间连续性变化的影响,例如字符串中字符顺序的交换不会改变汉明距离。
应用场景:
- 数据传输和存储:用于衡量数据传输或存储过程中的错误数量,评估数据的可靠性和完整性。
- 编码理论:在错误检测和纠正码中,用于衡量两个编码之间的差异,确定错误的位置和数量。
- 密码学:用于衡量密钥空间的大小,评估密码算法的安全性。
- 模式识别:在图像处理中,用于衡量两个图像之间的差异,进行图像的匹配和识别。
- 生物信息学:比较基因序列或蛋白质序列的差异。
- 机器学习:在数据分析和机器学习中,用于比较不同数据点之间的相似度或差异度。
- 语音识别:通过比较不同音频信号的汉明距离来判断它们所代表的语音片段是否相同。
对比分析
数学性质对比:
- 欧氏距离:度量空间中两点之间的直线距离,具有平移不变性和对称性
- 余弦相似度:度量两个向量之间夹角的余弦值,仅考虑向量的方向,不考虑向量的大小
- 汉明距离:度量两个等长字符串之间不同字符的个数,适用于离散数据
- 曼哈顿距离:度量空间中两点在各坐标轴上的距离之和,适用于高维数据
- 切比雪夫距离:度量两个点在各坐标轴上的最大距离,适用于棋盘游戏等特定场景
- 闵可夫斯基距离:欧氏距离和曼哈顿距离的广义形式,通过调整参数 �� 可得到不同的距离度量
- 雅卡尔指数:度量两个集合的相似度,计算两个集合交集与并集的比值
- 半正矢距离:计算地球表面两点间的最短距离,考虑地球的球形特性
- Sørensen-Dice 系数:度量两个集合的相似度,计算两个集合交集大小的两倍与两个集合大小总和的比值
计算复杂度对比:
- 欧氏距离:�(�),计算简单,适用于大多数应用场景
- 余弦相似度:�(�),计算简单,适合大规模数据处理
- 汉明距离:�(�),计算简单,适合离散数据
- 曼哈顿距离:�(�),计算简单,适用于高维数据
- 切比雪夫距离:�(�),计算简单,适用于特定场景
- 闵可夫斯基距离:�(�),通过调整参数 ��,适应不同的应用场景
- 雅卡尔指数:�(�),计算简单,适用于集合数据
- 半正矢距离:�(1),公式复杂,适合地理信息系统等场景
- Sørensen-Dice 系数:�(�),计算简单,适用于集合数据
适用场景对比:
- 欧氏距离:适用于空间距离计算、分类算法(如 KNN)、聚类分析(如 K-Means)
- 余弦相似度:适用于文本相似度计算、推荐系统、图像相似度计算
- 汉明距离:适用于错误检测和纠正、基因序列分析、密码学
- 曼哈顿距离:适用于数据挖掘和机器学习、图像处理、机器人路径规划
- 切比雪夫距离:适用于棋盘游戏、仓储和物流
- 闵可夫斯基距离:适用于分类算法、聚类分析
- 雅卡尔指数:适用于信息检索、图像处理、生态学
- 半正矢距离:适用于地理信息系统、导航系统、航空和海洋运输
- Sørensen-Dice 系数:适用于信息检索、图像处理、生态学
总结回顾
- 欧氏距离:计算空间中两点间的直线距离,简单易懂
- 余弦相似度:计算两个向量间夹角的余弦值,适合文本和向量数据
- 汉明距离:计算两个等长字符串间不同字符的个数,适合离散数据
- 曼哈顿距离:计算空间中两点在各坐标轴上的距离之和,适合高维数据
- 切比雪夫距离:计算两点间各坐标轴上的最大距离,适用于特定场景
- 闵可夫斯基距离:欧氏距离和曼哈顿距离的广义形式,通过参数调整适应不同场景
- 雅卡尔指数:计算两个集合的相似度,适合集合数据
- 半正矢距离:计算地球表面两点间的最短距离,考虑地球曲率
- Sørensen-Dice 系数:计算两个集合的相似度,适合集合数据

浙公网安备 33010602011771号