高数重难点知识

常见反例的题目:
反例需要积累


原函数存在定理及拓展:


定积分的结论

4个常见不等式

有意思的极限

十字相乘法的进阶:
反常积分的审敛法:
1 
2 
3 不好找等价函数,可以比较---》趋近于无穷的速度

1 2 的总结

复杂函数的

真题 - 例题:瑕积分+无穷积分

反常积分易错点


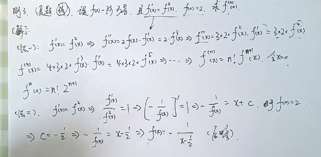
高阶导数
法二巧妙,但有些复杂

易错题:先求(n-1)阶导数,再用导数定义求,很妙啊

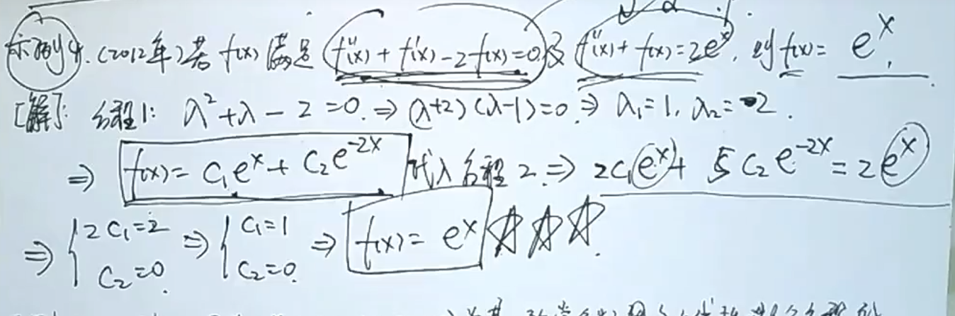
微分方程
微分方程组


反例需要积累


原函数存在定理及拓展:


定积分的结论

4个常见不等式

有意思的极限

十字相乘法的进阶:
1 
2 
3 不好找等价函数,可以比较---》趋近于无穷的速度

1 2 的总结

复杂函数的

真题 - 例题:瑕积分+无穷积分

反常积分易错点


法二巧妙,但有些复杂

易错题:先求(n-1)阶导数,再用导数定义求,很妙啊

微分方程组
