两两交换链表中的节点
给你一个链表,两两交换其中相邻的节点,并返回交换后链表的头节点。你必须在不修改节点内部的值的情况下完成本题(即,只能进行节点交换)。
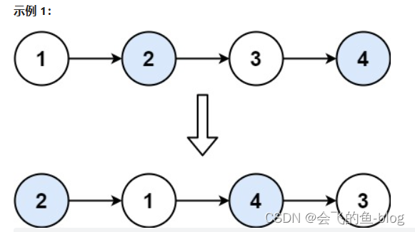
示例 1:

输入:head = [1,2,3,4]
输出:[2,1,4,3]
示例 2:
输入:head = []
输出:[]
示例 3:
输入:head = [1]
输出:[1]
来源:力扣(LeetCode)
链接:https://leetcode.cn/problems/swap-nodes-in-pairs
对于这道题目建议使用虚拟头结点,这样会方便很多,要不然每次针对头结点(没有前一个指针指向头结点),还要单独处理。
初始时,cur指向虚拟头结点,然后进行如下三步:

看这个可能就更直观一些了:

代码:
/**
* Definition for singly-linked list.
* struct ListNode {
* int val;
* ListNode *next;
* ListNode() : val(0), next(nullptr) {}
* ListNode(int x) : val(x), next(nullptr) {}
* ListNode(int x, ListNode *next) : val(x), next(next) {}
* };
*/
class Solution {
public:
ListNode* swapPairs(ListNode* head) {
ListNode* dummyHead = new ListNode(0);
dummyHead->next = head;
ListNode* cur = dummyHead;
while(cur->next != NULL && cur->next->next != NULL)
{
ListNode* temp = cur->next;
ListNode* temp1 = cur->next->next->next;
cur->next = cur->next->next;
cur->next->next = temp;
cur->next->next->next = temp1;
cur = cur->next->next;
}
return dummyHead->next;
}
};
转自代码随想刷题
浙公网安备 33010602011771号