二叉树
二叉树
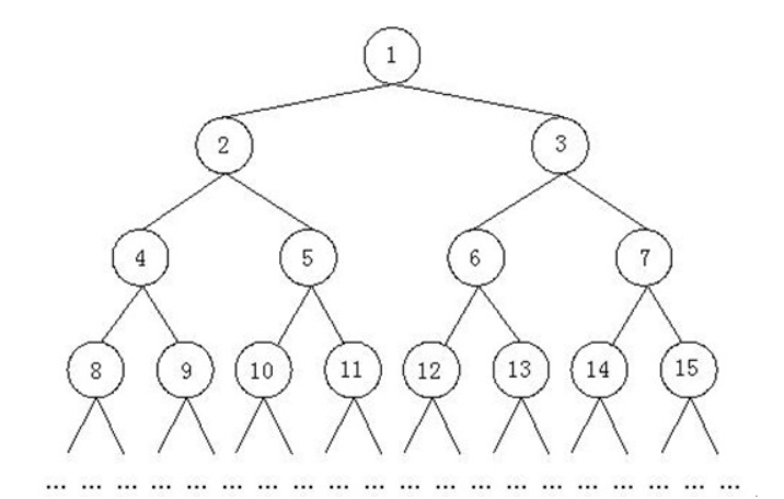
题目描述

如上所示,由正整数1,2,3……组成了一颗特殊二叉树。我们已知这个二叉树的最后一个结点是n。现在的问题是,结点m所在的子树中一共包括多少个结点。
比如,n = 12,m = 3那么上图中的结点13,14,15以及后面的结点都是不存在的,结点m所在子树中包括的结点有3,6,7,12,因此结点m的所在子树中共有4个结点。
输入格式
输入数据包括多行,每行给出一组测试数据,包括两个整数m,n (1 <= m <= n <= 1000000000)。最后一组测试数据中包括两个0,表示输入的结束,这组数据不用处理。
输出格式
对于每一组测试数据,输出一行,该行包含一个整数,给出结点m所在子树中包括的结点的数目。
样例输入
3 7
142 6574
2 754
0 0
样例输出
3
63
498
解题思路
m---为当前层的起点,s---为当前层的节点数,end---当前层的结束节点编号,2m则为下一层的新的起点,2s为下一层的节点数。
- 若end<=n,那么当前层所有节点数都需要计入节点总数。
- 若end>n,那么当前层的节点数需要将取n编号前的节点数,同时需要包括n节点。
代码
import java.util.ArrayList;
import java.util.Scanner;
public class Main {
public static void main(String[] args) {
Scanner scanner = new Scanner(System.in);
ArrayList<Integer> nlist = new ArrayList<>();
ArrayList<Integer> mlist = new ArrayList<>();
int m = scanner.nextInt();
//读取输入的数据
while(m!=0)
{
mlist.add(m);
int n = scanner.nextInt();
nlist.add(n);
m=scanner.nextInt();
}
for(int i=0;i<nlist.size();i++){
int res=countNodes(mlist.get(i),nlist.get(i));
System.out.println(res);
}
}
public static int countNodes(int m, int n) {
if (m > n) {
return 0;
}
int count = 0;
long currentLevelStart = m;
long currentLevelCount = 1;
while (currentLevelStart <= n) {
long index_end = currentLevelStart + currentLevelCount - 1;
if ( index_end> n) {
count += (n - currentLevelStart + 1);
} else {
count += currentLevelCount;
}
// 检查是否可能溢出,避免无限循环
if (currentLevelStart > Long.MAX_VALUE / 2) {
break;
}
currentLevelStart *= 2;
currentLevelCount *= 2;
}
return count;
}
}

浙公网安备 33010602011771号