吴恩达神经网络和深度学习——深层神经网络
一、深层神经网络
1. 深层的作用
- 随着层数由浅到深,神经网络提取的特征也是从边缘到局部特征到整体,由简单到复杂。如果隐藏层足够多,那么能够提取的特征就越丰富、越复杂,特征复杂度与神经网络层数成正相关,模型的准确率就会越高
- 深层神经网络相对于又胖又浅的神经网络,可以减少神经元个数,减少计算量,

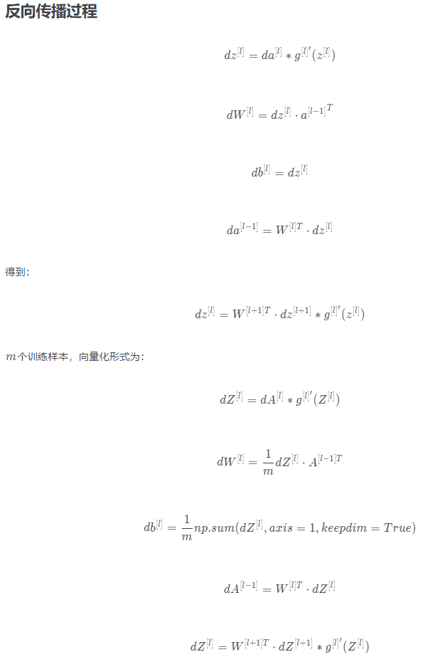
2. 前向传播和反向传播



3. 参数和超参数
参数即是我们在过程中想要模型学习到的信息(模型自己能计算出来的),例如 W[l],b[l]。而超参数(hyper parameters)即为控制参数的输出值的一些网络信息(需要人经验判断)。超参数的改变会导致最终得到的参数 W[l],b[l]的改变。
典型的超参数有:
- 学习速率:α
- 迭代次数:N
- 隐藏层的层数:L
- 每一层的神经元个数:n[1],n[2],...
- 激活函数 g(z) 的选择
通常的做法是选择超参数一定范围内的值,分别代入神经网络进行训练,测试cost function随着迭代次数增加的变化,根据结果选择cost function最小时对应的超参数值
浙公网安备 33010602011771号