吴恩达神经网络和深度学习——浅层神经网络
一、浅层神经网络
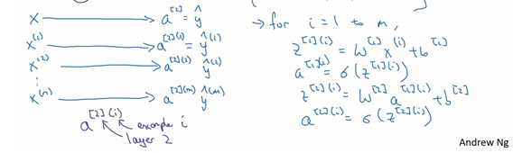
1. 神经网络的表示
单隐藏层神经网络是典型的浅层神经网络,两层神经网络,从隐藏层开始到输出层的层数是神经网络的总层数
- x表示神经网络的输入层
- 后续的是隐藏层,第l层的权重W[l]维度的行等于l层神经元的个数,列等于l−1层神经元的个数;第i层常数项b[l]维度的行等于l层神经元的个数,列始终为1
- 隐藏层会有激活函数
- 最后一层是输出层,产出预测值



向量化:

2. 激活函数
- 如果输出是0、1值(二分类问题),则输出层选择sigmoid函数,然后其它的所有单元都选择Relu函数
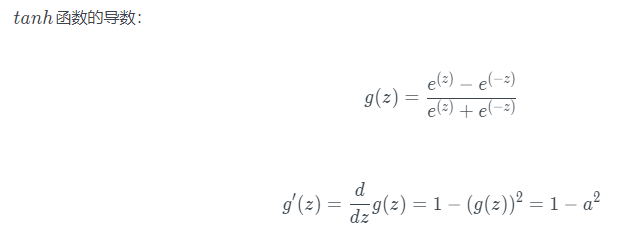
- tanh激活函数:tanh是非常优秀的,几乎适合所有场合。tanh 函数的取值范围在[−1,+1]之间,隐藏层的输出被限定在[−1,+1]之间,可以看成是在0值附近分布,均值为0。这样从隐藏层到输出层,数据起到了归一化(均值为0)的效果
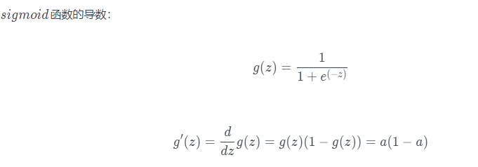
- sigmoid函数和tanh函数两者共同的缺点是,在z特别大或者特别小的情况下,导数的梯度或者函数的斜率会变得特别小,最后就会接近于0,导致降低梯度下降的速度,造成梯度消失
- 如果在隐藏层上不确定使用哪个激活函数,那么通常会使用Relu激活函数。有时,也会使用tanh激活函数,Relu的优点是:只要z是正值的情况下,导数恒等于1常数,有足够的隐藏层使得z>0,当z是负值的时候,导数恒等于0,神经元此时不会训练,加快了训练过程,在实践中,z等于0时假设导数是1或者0效果都可以
- Leaky Relu,当z是负值时,这个函数的值不是等于0,而是轻微的倾斜,这个函数通常比Relu激活函数效果要好,尽管在实际中Leaky ReLu使用的并不多
- 在z的区间变动很大的情况下,ReLu在程序实现就是一个if-else语句,而sigmoid函数需要进行浮点四则运算,在实践中,使用ReLu激活函数神经网络通常会比使用sigmoid或者tanh激活函数学习的更快





3. 选用非线性激活函数的原因
- 多层隐藏层的神经网络如果使用线性函数作为激活函数,最后的输出还是线性模型,深层神经网络不起作用
- 如果是预测问题而不是分类问题,输出y是连续的情况下,输出层的激活函数可以使用线性函数。如果输出y恒为正值,则也可以使用ReLU激活函数
4. 神经网络的梯度下降

这些都是针对所有样本进行过向量化,Y是1Xm的矩阵;这里np.sum是python的numpy命令,axis=1表示水平相加求和,keepdims是防止python输出那些古怪的秩数(n,),确保阵矩阵db[2]这个向量输出的维度为(n,1)这样标准的形式.还有一种防止python输出奇怪的秩数,需要显式地调用reshape把np.sum输出结果写成矩阵形式。
5.随机初始化
- symmetry breaking problem:对于一个神经网络,如果你把权重或者参数都初始化为0,使得部分神经元完全一样,完全对称,也就意味着经过每次训练的轮迭代,他们进行同样的计算,隐藏层设置多个神经元就没有意义,梯度下降将不会起作用
- 随机初始化方法:
W_1 = np.random.randn((2,2))*0.01 b_1 = np.zero((2,1)) W_2 = np.random.randn((1,2))*0.01 b_2 = 0
让W比较小,是因为如果使用sigmoid函数或者tanh函数作为激活函数的话,W比较小,得到的|z|也比较小(靠近零点),而零点区域的梯度比较大,这样能大大提高梯度下降算法的更新速度,尽快找到全局最优解;如果W较大,得到的|z|也比较大,附近曲线平缓,梯度较小,训练过程会慢很多
如果激活函数是ReLU或者LeakyReLU函数,则不需要考虑这个问题
浙公网安备 33010602011771号