会员
众包
新闻
博问
闪存
赞助商
HarmonyOS
Chat2DB
所有博客
当前博客
我的博客
我的园子
账号设置
会员中心
简洁模式
...
退出登录
注册
登录
Flywatre's Blog
芒寒色正
新随笔
联系
管理
【学习笔记】自适应辛普森积分
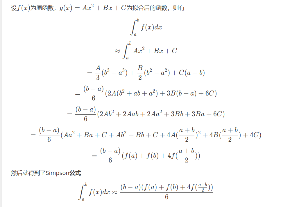
发现自己经常容易搞忘这个式子,特别来写一下。
然后二分检查精度,可以得到积分的近似。
posted @
2023-01-26 21:30
flywatre
阅读(
36
) 评论(
0
)
收藏
举报
刷新页面
返回顶部
公告