答题思路:此题涉及知识点很多,很难说清、说透,因为mvc、mvp这些我们前端程序员自己甚至都没 用过。但是恰恰反映了前端这些年从无到有,从有到优的变迁过程,因此沿此思路回答将十分清楚。
Web1.0时代
在web1.0时代,并没有前端的概念。开发一个web应用多数采用ASP.NET/Java/PHP编写,项目通常由多个aspx/jsp/php文件构成,每个文件中同时包含了HTML、CSS、JavaScript、C#/Java/PHP代码,系 统整体架构可能是这样子的

这种架构的好处是简单快捷,但是,缺点也非常明显:JSP代码难以维护
为了让开发更加便捷,代码更易维护,前后端职责更清晰。便衍生出MVC开发模式和框架,前端展示以 模板的形式出现。典型的框架就是Spring、Structs、Hibernate。整体框架如图所示:

使用这种分层架构,职责清晰,代码易维护。但这里的MVC仅限于后端,前后端形成了一定的分离,前 端只完成了后端开发中的view层。
但是,同样的这种模式存在着一些:
- 前端页面开发效率不高
- 前后端职责不清
web 2.0时代
自从Gmail的出现,ajax技术开始风靡全球。有了ajax之后,前后端的职责就更加清晰了。因为前端可 以通过Ajax与后端进行数据交互,因此,整体的架构图也变化成了下面这幅图:

通过ajax与后台服务器进行数据交换,前端开发人员,只需要开发页面这部分内容,数据可由后台进行 提供。而且ajax可以使得页面实现部分刷新,减少了服务端负载和流量消耗,用户体验也更佳。这时, 才开始有专职的前端工程师。同时前端的类库也慢慢的开始发展,最著名的就是jQuery了。
当然,此架构也存在问题:缺乏可行的开发模式承载更复杂的业务需求,页面内容都杂糅在一起,一旦 应用规模增大,就会导致难以维护了。因此,前端的MVC也随之而来。
前后端分离后的架构演变——MVC、MVP和MVVM MVC
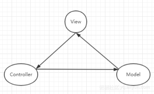
前端的MVC与后端类似,具备着View、Controller和Model。Model:负责保存应用数据,与后端数据进行同步 Controller:负责业务逻辑,根据用户行为对Model数据进行修改View:负责视图展示,将model中的数据可视化出来。
三者形成了一个如图所示的模型:

这样的模型,在理论上是可行的。但往往在实际开发中,并不会这样操作。因为开发过程并不灵活。例 如,一个小小的事件操作,都必须经过这样的一个流程,那么开发就不再便捷了。
在实际场景中,我们往往会看到另一种模式,如图:


- View比较庞大,而Controller比较单薄:由于很多的开发者都会在view中写一些逻辑代码,逐渐的就导致view中的内容越来越庞大,而controller变得越来越单薄。
既然有缺陷,就会有变革。前端的变化中,似乎少了MVP的这种模式,是因为AngularJS早早地将MVVM框架模式带入了前端。MVP模式虽然前端开发并不常见,但是在安卓等原生开发中,开发者还是 会考虑到它。
MVP
MVP与MVC很接近,P指的是Presenter,presenter可以理解为一个中间人,它负责着View和Model之 间的数据流动,防止View和Model之间直接交流。我们可以看一下图示:

我们可以通过看到,presenter负责和Model进行双向交互,还和View进行双向交互。这种交互方式, 相对于MVC来说少了一些灵活,VIew变成了被动视图,并且本身变得很小。虽然它分离了View和Model。但是应用逐渐变大之后,导致presenter的体积增大,难以维护。要解决这个问题,或许可以从MVVM的思想中找到答案。
MVVM
首先,何为MVVM呢?MVVM可以分解成(Model-View-VIewModel)。ViewModel可以理解为在
presenter基础上的进阶版。如图所示:

ViewModel通过实现一套数据响应式机制自动响应Model中数据变化; 同时Viewmodel会实现一套更新策略自动将数据变化转换为视图更新; 通过事件监听响应View中用户交互修改Model中数据。
这样在ViewModel中就减少了大量DOM操作代码。
MVVM在保持View和Model松耦合的同时,还减少了维护它们关系的代码,使用户专注于业务逻辑,兼 顾开发效率和可维护性。
总结
这三者都是框架模式,它们设计的目标都是为了解决Model和View的耦合问题。
MVC模式出现较早主要应用在后端,如Spring MVC、ASP.NET MVC等,在前端领域的早期也有应用,如Backbone.js。它的优点是分层清晰,缺点是数据流混乱,灵活性带来的维护性问题。 MVP模式在是MVC的进化形式,Presenter作为中间层负责MV通信,解决了两者耦合问题,但P层过于臃肿会导致维护问题。
MVVM模式在前端领域有广泛应用,它不仅解决MV耦合问题,还同时解决了维护两者映射关系的 大量繁杂代码和DOM操作代码,在提高开发效率、可读性同时还保持了优越的性能表现。
浙公网安备 33010602011771号