行列式的几何意义(转载自CSDN)
行列式的定义:
行列式是由一些数据排列成的方阵经过规定的计算方法而得到的一个数。当然,如果行列式中含有未知数,那么行列式就是一个多项式。它本质上代表一个数值,这点请与矩阵区别开来。矩阵只是一个数表,行列式还要对这个数表按照规则进一步计算,最终得到一个实数、复数或者多项式。
一阶行列式

二阶行列式

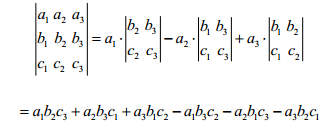
三阶行列式

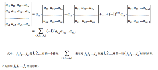
N阶行列式

行列式的几何意义是什么呢?
概括说来有两个解释:
一个解释是行列式就是行列式中的行或列向量所构成的超平行多面体的有向面积或有向体积;
另一个解释是矩阵A的行列式detA就是线性变换A下的图形面积或体积的伸缩因子。
这两个几何解释一个是静态的体积概念,一个是动态的变换比例概念。但具有相同的几何本质,因为矩阵A表示的(矩阵向量所构成的)几何图形相对于单位矩阵E的所表示的单位面积或体积(即正方形或正方体或超立方体的容积等于1)的几何图形而言,伸缩因子本身就是矩阵矩阵A表示的几何图形的面积或体积,也就是矩阵A的行列式。









浙公网安备 33010602011771号