基于惩罚的边界交点(PBI)
1.PBI
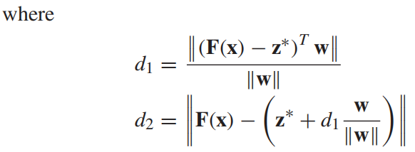
PBI的这种方法是正规边界交点法的一个变体。定义为下:


d1,d2关系如下图:

其中F(x)-Z*是d3的距离,d1是d3的投影。F(x)在w上的投影是P,d2是投影距离(体现多样性,靠近w的点也可以作为选取点, θ相当于惩罚)。d1被用来评价x对EF的收敛性,d2是一种衡量种群多样性的方法。通过将d2的值乘以θ和d1,从而让gpbi(x=w,z∗)对x做一种综合测度,兼具收敛性和多样性。在D1和D2之间由参数θ控制,而PBI方法的目标是将F(X)推到尽可能低的地方,使其达到边界。
接下来给出不同θ和W设置下的PBI函数轮廓图。

当θ=1时,角度α=45°,为什么是45度,因为对于等高线0.7是pbi值,而θ=1,pbi=d1+d2,d1=b=0.25√2,d2=a=0.25√2,tanα=θ*d2/d1,所以d2/d1=1=tan45°。注意0.7是pbi值,不是f1,f2的目标函数所计算的值。

浙公网安备 33010602011771号