求直线的参数方程
参数方程的几何解释
如果二维空间内有两个点(2,1)和(0,2),那么经过这两点的直线方程是什么?
初中的知识可以告诉我们,斜率是 \(k = \displaystyle\frac{y_2 - y_1}{x_2 - x_1}\) 。现在使用向量和参数方程来理解这个问题。假设在二维空间内有两个向量 a<2,1> 和 b<0,2>,如下图所示:

一个不太准确的说法是,将 b-a 的两端延长,就是所求的直线,只要能够恰当地表示这条直线就好了。由于向量表示的大小和方向的量,与位置无关,所以可以将 b-a 平移:

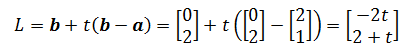
现在使用平移后的 b-a,它与 b 的线性组合就可以表示所求直线(向量终点站直线上):

将 b-a 的倍数设为 t,那么直线可以表示为:

转换成 x,y 的参数方程,x = -2t, y = 2 + t

浙公网安备 33010602011771号