【兰兰的不自量力】量子力学笔记 01.波函数与薛定谔方程
Announcement:
欢迎你来到我的博客鸭~ 如果对笔记有补充、建议、疑问,欢迎评论或者私信fan.19@intl.zju.edu.cn
让我们一起变的更强(っ•̀ω•́)っ✎⁾⁾
这份笔记是根据up主没尾巴的耗子的量子力学系列教程——兰兰的不自量力整理的,建议先看视频再来看笔记,喜欢的小伙伴可以关注他
课程链接:【兰兰的不自量力】量子力学考研教学视频01:学习经验分享、波函数与薛定谔方程、归一化_哔哩哔哩 (゜-゜)つロ 干杯~-bilibili
(图片均来自视频截图,侵删)
01 波函数与薛定谔方程
1.薛定谔方程在量子力学中的地位(对比牛顿运动方程)

2. 一维情况下的薛定谔方程(对比牛顿运动方程)

注释: i是√-1
h是普朗克常数
V是势能
ℏ是约化普朗克常数
上面的一维薛定谔方程我们也称做含时薛定谔方程,因为它含有时间 t 这个变量
含时薛定谔方程:含有时间 t
定态薛定谔方程:不含时间 t(后面要讲)
牛顿力学中
从上面的运动方程可以看出,保守场里如果知道物体的初始位置x0,场的势能函数V(x,t),就可以求出任意时刻物体的位置x。
量子力学中
从一维薛定谔方程看出,如果知道粒子的质量m和势能函数V(x,t),就可以求出波函数Ψ
那这个波函数有什么用???
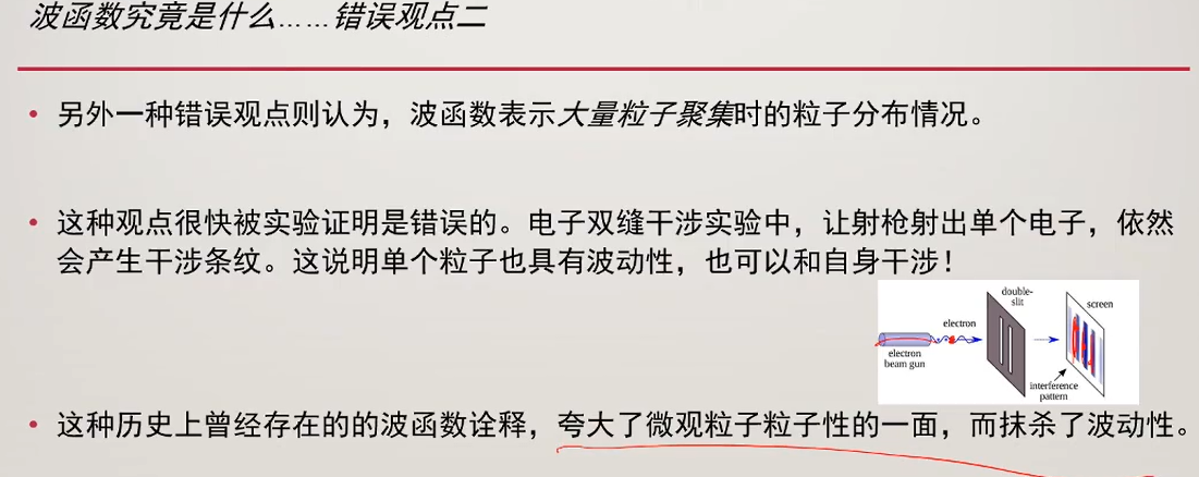
3.波函数是干什么的,可以吃吗?——几种错误观点和玻恩统计诠释
正确的解释:

注释:波函数是复数域的函数,所以他不能直接用平方,而应该用模平方。求法就是Ψ乘以Ψ*(Ψ的共轭复数)
概率分布函数即概率密度函数,要求全空间积分为1,可以类比高中热学的粒子速度概率曲线,高中数学的正态分布曲线
4. 上帝会不会掷骰子?——玄学讨论:
我们的问题是:薛定谔方程告诉我们只能确定粒子在哪里的概率,而不能确定它的位置。
这到底是理论的缺陷,还是它本来就是不可确定的??

第一种回答 隐变量理论说:薛定谔方程里面还有一些我们不知道的隐藏变量(隐变量),只要加上,粒子的位置就可以确定。
贝尔不等式和贝尔实验否定了这种理论
第三种回答 不回答论说: 你要知道一个东西的位置就必须通过测量,所以测量之前它在哪里没有意义
这显然是不对的。有些现象必须在不测量的情况下才能出现,比如一个电子自己跟自己干涉的图案。你要研究这个现象,就必须去研究不测量时电子位置是什么样的。
第二种回答 哥本哈根诠释被称为正统诠释,虽然它也存在很多问题和漏洞,但是它目前是最正确的解释
它很好用!

其他解释比如平行世界论。。。。额。。。。
5.哥本哈根诠释说不明白的问题
测量到底是个什么神仙过程,为什么可以引起波函数坍缩
测量是怎么定义的,只有人是测量者吗,薛定谔的猫是不是测量者,摄像头是不是测量者,测量者的测量者怎么分析等等
6.归一化
唉什么是归一化?
我们直接去解薛定谔方程的话,解出来的波函数平方全空间积分是不确定的,有可能是1,有可能是0.1,2,30,100等等
但是根据我们上面提到的玻恩统计诠释,波函数平方是概率密度函数,全空间积分必须得等于1才行
(这里的全空间就是x轴-∞到+∞)

为什么我们可以进行归一化这个操作呢?
任何波函数都可以归一化吗?

这张PPT事实上说明了,把一个波函数乘个常数后它仍然是薛定谔方程的解,所以我们乘以A把它归一化是合理的。

这个属于考试出题的一个习惯了


简单来说:只要它∫ ΨΨ*dx 在全空间积分是个非零常数
那就OK
下面这个是兰老师证明这个全空间积分不随时间变化的过程,推导里求时间偏导的方法很重要!之后还会用

第一步把求导放在积分里面的操作我们叫Differentiation Under the Integral Sign,条件是求完对t偏导之后这个函数要对x可积(一般不会出问题)
第二步是求导的乘法法则
第三、四步是分别求出第二步中需要的两个表达式
第五步,把三四步结果代入第二步,求出了对x偏导的最终表达式
最后一步带进去积分,因为玻恩统计诠释要求积分收敛,所以波函数Ψ以及波函数的共轭Ψ*在无穷远处都必须为零。最后结果就是零
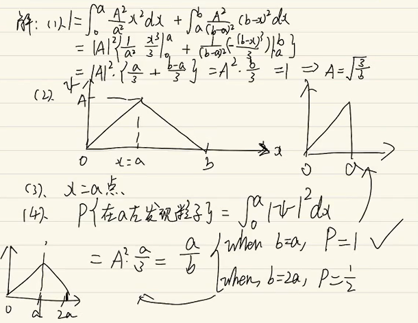
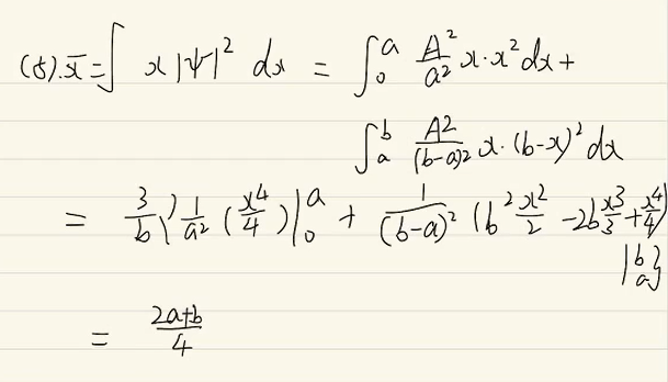
习题:



请留步~~~~
这是我第一篇博文,如果您觉得笔记有用的话,点个赞鼓励我一下
谢谢你鸭!
浙公网安备 33010602011771号