938. 二叉搜索树的范围和
题目描述:
给定二叉搜索树的根结点 root,返回值位于范围 [low, high] 之间的所有结点的值的和。
提示:
- 树中节点数目在范围 [1, 2 * 104] 内
- 1 <= Node.val <= 105
- 1 <= low <= high <= 105
- 所有 Node.val 互不相同
示例:

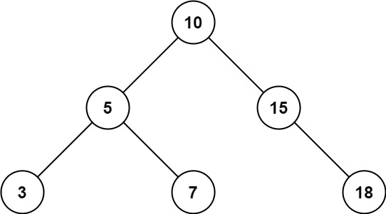
输入:root = [10,5,15,3,7,null,18], low = 7, high = 15 输出:32
解题思路:
由于给定的是二叉搜索树,我们就要充分利用好二叉搜索树的特性,不必对节点全部遍历。我们可以用深度优先搜索进行范围和的求解,分为以下四种情况:
- 当前节点为空,返回0;
- 当前节点的val小于区间[low,high],由于二叉搜索树左子树上所有节点的值均小于根节点的值,即均小于low,故无需考虑左子树,向右子树进行搜索。
- 当前节点的val大于区间[low,high],由于二叉搜索树右子树上所有节点的值均大于根节点的值,即均大于high,故无需考虑右子树,向左子树进行搜索。
- 当前节点的val在区间[low,high]范围内(包含边界),那么范围和要加上当前节点的值,同时对左右子树分别进行搜索。
var rangeSumBST = function(root, low, high) { if(root == null){ return 0; } let sum = 0; if(root.val<low){ sum += rangeSumBST(root.right,low,high); }else if(root.val>high){ sum += rangeSumBST(root.left,low,high); }else{ sum += root.val; sum += rangeSumBST(root.left,low,high); sum += rangeSumBST(root.right,low,high); } return sum; };

浙公网安备 33010602011771号