is 比较两个引用是否指向同一个对象
== 比较两个对象是否相等
>>> a = [1, 2]
>>> b = [1, 2]
>>> c = a
>>> id(a)
140275902517640
>>> id(b)
140275902517960
>>> id(c)
140275902517640
>>> a == b # a、b分别指向的对象值相等
True
>>> a is b # a、b分别指向不同的对象
False
>>> a is c # a、c指向同一个对象
True
- 深拷贝:复制了引用和内容
- 浅拷贝: 仅复制了引用,未复制对象
# 浅拷贝 a、b指向同一个对象地址
>>> a = [1, 2]
>>> b = a
>>> id(a)
140275902517704
>>> id(b)
140275902517704
>>> a.append(3) # 浅拷贝,修改a的值,b的值随之变化 【图1】
>>> b
[1, 2, 3]
# 深拷贝
>>> import copy
>>> c = copy.deepcopy(a)
>>> id(a)
140275902517704
>>> id(c)
140275902301264
>>> a.append(3) # 深拷贝,修改a的值,c的值不变 【图2】
>>> c
[1, 2]
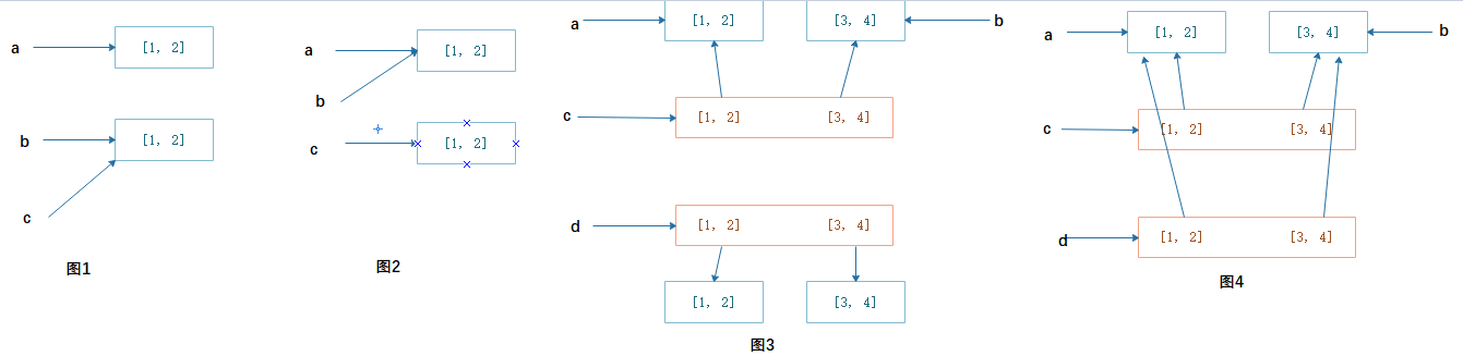
>>> a = [1, 2] # 【图3】
>>> b = [3, 4]
>>> c = [a, b]
>>> d = copy.deepcopy(c)
>>> d
[[1, 2], [3, 4]]
>>> a.append(3)
>>> c
[[1, 2, 3], [3, 4]] # 浅拷贝
>>> d
[[1, 2], [3, 4]] # 深拷贝
>>> a = [1, 2] # 【图4】
>>> b = [3, 4]
>>> c = [a, b]
>>> d = copy.copy(c)
>>> d
[[1, 2], [3, 4]]
>>> a[0] = 0
>>> d
[[0, 2], [3, 4]]
# copy当拷贝一个不可变类型数据时,只会进行浅拷贝
a = [1, 2]
b = [3, 4]
c = (a, b)
d = copy.copy(c)