Codeforces Round #818 (Div. 2) D
D:
题意:
由2^n个人进行锦标赛,编号1~2^n,每一场输的人失去比赛资格,赢的人继续。你可以选择他们进行的顺序,以及决定哪一边赢得比赛。你的目标是尽量让编号小的人赢得最终比赛。主办方可以改变其中至多k场比赛的结果,即本来是左边赢改为右边赢,本来是右边赢的改为左边。如下图,最左边红线是你选择的胜方。而主办方改动左边的一个结果,使得最终赢的人变成3。

问题是,求一个最小的编号,使得主办方无论怎么改,都可以让他赢。主办方的目的是使编号尽可能大的人赢。
分析:

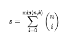
杨辉三角最后一排的和刚好是2^n,也就是最后一排刚好有2^n 个人,杨辉三角,从左往右数,每个位置i ,代表这个位置经过 i 次修改后可以获胜,且这个数的右上角的数是上一层经过 i 次修改可以获胜的数,所以这一层的这一个数在杨辉三角中也代表经过刚好 i 次修改,整个杨辉三角中可以获胜的数的总和。
首先让最左边的人赢,我们让编号小的人尽量在左边,这样如果主办方仅修改一次,左边一侧的1的右边一个会刚好获胜,修改两次,右边第二个刚好会获胜,所以修改k次后会获得胜利的数直接通过累加最后一排的k个数即可
答案就是 s
//#define int ll const int N = 2e5+10,mod = 1e9+7; int n,k; int fac[N],inv[N]; ll qmi(ll a,ll b) { ll res = 1;for(;b;b>>=1,a = a * a % mod) if(b&1) res = res * a % mod;return res; } ll mul(ll a,ll b) { return (a * b) % mod; } void init() { fac[0] = 1; fo(i,1,2e5) fac[i] = (1ll * fac[i-1] * i) % mod;//记得要开ll inv[200000] = qmi(fac[200000],mod - 2); of(i,2e5,1) inv[i-1] = mul(inv[i],i); } ll C(ll n,ll m) { if(n < m || m < 0) return 0; return mul(fac[n],mul(inv[m],inv[n-m])); } void solve() { cin>>n>>k; ll res = 0; // fo(i,0,10) { // dbb(i,fac[i]); // } // db(C(1,1)); fo(i,0,(min(k,n))) { res += C(n,i); res %= mod; } cout<<res<<endl; }

浙公网安备 33010602011771号