- 四端口网络分析
一个无耗、完全匹配、对称的四端口元件的参数可以简化为如下的矩阵形式:
![]()
因为网络对称,所以以上矩阵元素关于对角线对称,矩阵可简化为:
![]()
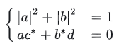
因为该网络为无耗网络,所以有以下关系:
![]()
其中,S13、S24(即为b)的相位常数θ、φ之间存在如下关系:
θ+φ=π±2nπ
忽略2π的整数倍,则θ、φ之间有如下几种关系,可构成几种不同的定向耦合器:
- θ=φ=π/2,此时为90°定向耦合器,有a=c,b=d;
![]()
- θ=0,φ=π,此时为180°定向耦合器,
![]()
- 90°3dB定向耦合器
3dB定向耦合器指耦合度C(后文提及)C=3dB=20lg1/|S31|→|S31|=1/√2
可知α=β=1/√2,所以耦合器的S参数矩阵此时为:
![]()
- 定向耦合器的技术参量
设|S13|^2 = β^2, |S12|^2 = α^2 = 1-β^2,主要技术参量有以下三个:
- 耦合度:耦合端口的输出功率与输入功率的比值
![]()
- 方向性:衡量隔离耦合端口与解耦端口的能力的参数
![]()
- 隔离度:发送到解耦端口的参数
![]()
其中:I=(C+D)dB - 插入损耗:指发送到直通端口的功率中,由于发送到耦合端口与解耦端口的功率而损耗的功率部分。
L = 10lgP1/P4 = =20lg|S12|









浙公网安备 33010602011771号