-
串并联变换(以RL串联→并联为例)
![]()
若使上述变换成立,串联支路(Ls、Rs)总阻抗应等于并联支路(Lp、Rp)总阻抗
![]()
因为
![]()
可得
![]()
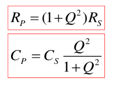
RC串联→并联:
![]()
可以看到Rs>>Rp,而Xs<Xp
上述变换为窄带阻抗变换,仅在以w0为中心的窄带内成立 -
L型匹配
L型匹配所用元件较少,仅用两个无源器件即可构成(电容or电感),根据Rs和Rl的大小关系可分为下面两种:
![]()
Q:为什么在较大的电阻一侧先并联电感?
A:对于较小电阻一侧而言,需保证前面级联的所有阻抗大小与自身相等(即将较大阻抗变小),所以先并联使总阻抗变小,再串联来中和掉并联引入的虚部阻抗。
以Rs<RL为例:

在阻抗匹配网络完成串并联变换后:
1.串联Q=并联Q
2.变换后的电阻值rs=电源阻抗Rs,容性电抗=感性电抗,这样才能实现共轭匹配。
- π/T型匹配
L型匹配无法对品质因数或带宽进行控制,所以要对这两个量进行控制,所以使用π型匹配。
![]()
这样可以把π/T型匹配看做两个L型匹配,而在两电感中间生成一个镜像电阻Ri,Ri<Rs,Ri<RL(T型为Ri>Rs,Ri>RL)







浙公网安备 33010602011771号