- 在射频电路中,很多时候既包含有源器件(MOS管、三极管),又包含了无源元件(RLC),还包含分布式元件(微带线、传输线等),一个个分析是很困难的,需要使用网络理论进行整体分析。
- 重点关注:端口的电流电压和入射信号反射信号
- 常用的矩阵:Z、Y、ABCD、S
- 阻抗与导纳矩阵
- 阻抗矩阵可表示为V=ZI,导纳矩阵可表示为I=YV,Z、Y两矩阵互为逆矩阵
- Zij可通过阻抗矩阵表示为 Zij=Vi/Ij(除端口j以外其他端口均开路)
Yij可通过导纳矩阵表示为 Yij=Ii/Vj(除端口j以外其他端口均短路)
- ABCD矩阵(传输矩阵)
对于两个及以上二端口网络级联并需要表示总电压和总电流时,需要用ABCD矩阵表示。
对于二端口网络:
![]()
![]()
而对于级联的二端口网络,N个级联端口的ABCD矩阵等于各个端口的ABCD矩阵相乘:
![]()
常用的二端口网络的ABCD矩阵、常用的ABCD矩阵与其他矩阵的转换可查 - 散射矩阵 S参数
![]()
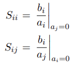
ai和bi就是归一化后的入射波电压、电流和反射波电压、电流
![]()
![]()
![]()
图中ai=0指从网络看进去没有来自i端口的信号,即i端口处接匹配阻抗。
Q:为什么射频电路分析中多用S参数,而并非Y参数Z参数?
A:因为Y参数、Z参数在计算时需要令端口短路(开路),在实际测量中无法实现;而S参数并不需要这种条件,比较简便。







浙公网安备 33010602011771号