根据负载情况的不同,分为以下几种情况讨论:
-
一端接负载
-
一端接匹配阻抗
-
一端短路
-
一端开路
-
情形一:一端接负载
![]()
(图中以负载为坐标原点)
此时,入射波沿-z方向传播,反射波沿+z方向传播,传输线上电压与电流的解为:
![]()
![]()
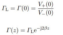
电压反射系数:反射电压/入射电压
-
负载处z=0,所以
![]()
对于无耗传输线,传输线上噪声系数、反射系数的模不变。以负载为原点,朝向信号源方向为正方向,z增加,相位变小,等反射系数圆顺时针旋转。 -
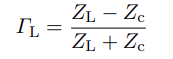
因为ZL=VL/IL=V(z=0)/I(z=0),可得
![]()
当ZL<Zc时,反射系数<0;ZL>Zc时,反射系数>0。 -
假定源是匹配的,线上任意一点的平均功率流是常数,且传输到负载的总功率=入射功率-反射功率
反射系数=0,入射功率可全部传输到负载;反射系数=1,没有功率可传输到负载。
电压驻波比:传输线上任意处的电压最大值/最小值,用来度量传输线的失配程度。
![]()
回波损耗:RL=-20lg|反射系数| -
SWR=1代表负载匹配
负载匹配时,无损传输线上各点的电压、电流的振幅不变,而相位随z的减小连续滞后。 -
两个连续电压最大值/最小值之间距离为半波长,相邻的最大值和最小值之间距离为1/4波长。
![]()
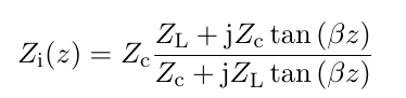
传输线阻抗方程:具有任意负载阻抗的一段传输线的输入阻抗
![]()
该方程与分析传输线的分布模型相印证,表示传输线上每一点的阻抗均不等,且只有特定情况下才与传输线特征阻抗相等,以下开始分析。
- 情形二:一端短路
- 负载短路→ZL=0→反射系数=-1→SWR无穷大→全反射
![]()
阻抗为z的函数,且周期为半波长。
- 情形三:一端开路
- 负载开路→ZL无穷大→反射系数=1→SWR无穷大→全反射
- z=0开路,z=四分之一波长时短路
- 情形四:特定长度的传输线(半波长和四分之一波长)
半波长zin=ZL,四分之一波长Zin=Z0^2/ZL
阻抗的周期性与倒置性:
输入阻抗以半波长为周期,即Zin(z+λ/2)=Zin(z)
而相距四分之一波长的两点阻抗互为倒数,即对于四分之一波长的传输线而言,Zin*ZL=Z0^2
对四分之一波长的传输线而言,负载短路时输入端开路,负载开路时输入端短路









浙公网安备 33010602011771号