ENVI下不变目标法相对大气校正详解
相对大气校正按照数学基础可以分为2种,非线性校正法和线性校正法。非线性校正法最典型的是直方图匹配,图像的直方图是图像中所有灰度值的概率分布。即将校正图像的直方图与参考图像的直方图进行匹配,使两幅图像具有相同或相近的灰度值概率分布,达到两幅图像上同名地物具有相同灰度值的目的。
线性校正法有个前提假设:不同时相的图像灰度值之间满足线性关系,这种假设在近似情况下是成立的。这样就可以通过线性等式来描述不同时相间的灰度关系,用x表示参考图像,y表示待校正图像,他们之间的线性关系可描述为:
y=a*x+b (13.5)
其中:a、b为线性等式中的参数,即为增益和偏移量。线性校正的关键是确定公式(13.5)中的两个参数,通常是根据两时相光谱性质相对稳定地物样本点的DN值,利用线性回归的方法求得公式(13.5)中的参数a、b。之后,用公式(13.5)对图像的各波段DN值做线性变换,完成相对大气校正。
根据前述原理,完成线性相对校正需要以下3个步骤:
第一步,在两幅图像中搜寻相对固定目标即光谱稳定的地物样本点,即伪不变特征要素(PIF:Pseudo-Invariant Features);
第二步,运用这些伪不变特征点的DN值,利用线性回归的方法求解公式(13.5)中的参数,得到图像间的线性关系;
第三步,根据该关系式,通过波段运算,得到与参考图像具有相同或相近辐射值的结果图像,完成相对大气校正。整个过程的关键是PIF的选择。
下面以两个不同大气环境下成像、已经经过精确配准、ENVI标准格式的Landsat TM5数据为例(2000年和2001年),介绍线性校正法的操作步骤(参见实验数据光盘\第13章 辐射定标与大气校正\2-不变目标法相对大气校正):
注:1、以下操作在ENVI5.3中完成,ENVI5.4及以上版本类似
2、可以使用ENVI扩展工具:基于不变目标法的相对大气校正完成,本文介绍ENVI中根据基本原理和流程操作完成,能更好的理解整个处理过程。
第一步、PIF选择
选择一幅目视质量较好的图像作为基准图像(2001年),另外一幅作为待校正图像(2000年)。在两个图像上选择相同区域的沥青房顶、砾石面、混凝土停机坪、洁净水体、混凝土、沙地等地物作为PIF,这些地物不会随时间的变化而变化。
(1) 在主界面中,选择File→Open,打开两幅图像“2000.dat”和“2001.dat”。
(2) 在主界面中,选择Views→Two Vertical Views,打开两个垂直显示窗口。
(3) 在图层管理(Layer Manger)中,选中其中一个View,在工具栏中单击 打开数据管理(Data Manger),在“2000.dat”右键选择RGB:543,单击Load data按钮。同样的方法为另外一个View加载显示“2001.dat”。
(4) 在主界面中,选择Views→Link Views,在Link Views面板中,单击New Link按钮,在右边两个视图中单击鼠标左键,单击OK按钮,将两个图像进行地理链接显示。
(5) 在图层管理(Layer Manger)中,在“2000.dat”年图层中右键选择New Region of Interest,打开ROI Tool面板。
(6) 通过目视方式,从两幅图像找到光谱稳定、相同地物作为样本,用Polygon或者Point类型绘制感兴趣区。
(7) 在绘制一定数量感兴趣后(不宜太多,太多后面的回归运算量会很大),在ROI Tool面板中,选择File→Export→Export to CSV,在Export ROIs to CSV面板中,选择输出的ROI以及输出的文件路径及文件名(图13.13),单击Ok按钮将ROI内对应位置和像元值输出为CSV文件。

图13.13 Export ROIs to CSV面板
(8) 回到主界面中,在图层管理(Layer Manger)中选中显示“2001.dat”的View,在工具栏中单击 打开数据管理(Data Manger),找到前面绘制的ROI数据右键选择Load按钮,将ROI加载到“2001.dat”图层上。
(9) 回到主界面中,在图层管理(Layer Manger)中的“2001.dat”上的ROI图层上双击鼠标打开ROI Tool面板。重复(7)步骤导出为CSV文件。
分别用Microsoft Office Excel打开上面步骤得到两个文本文件,这样我们得到了2000年的图像和2001年的图像相对应伪不变特征要素(PIF)的像素值。从Excel中可以看到,两个时相图像中每一个波段的像素值是一一对应关系,刚好对应公式(13.5)中的x和y。第二步中就是利用这些像素值,根据最小二乘回归分析法获得公式(13.5)中的a和b两个参数。
第二步、线性关系式求解
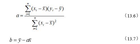
使用最小二乘回归的方法来求解线性回归式,根据最小二乘回归分析法从公式(13.5)可得到

其中xi、yi分别表示第i个待校正图像(2000年)和参考图像(2001年)对应的PIF的像元值。
这里直接使用Microsoft Office Excel求解线性回归式,将第一步获得PIF的像元值分别导入同一个Excel电子表格中(同一个sheet),利用Excel电子表格计算散点图功能很容易计算公式(13.5)中的a和b。这样就得到待校正图像每个波段的线性变换关系式(如表13.7)。
表13.7 回归解算的a和b值
|
波段 |
增益(a) |
偏移(b) |
|
Band1 |
0.39 |
90 |
|
Band2 |
0.489 |
32.2 |
|
Band3 |
0.54 |
37.4 |
|
Band4 |
0.496 |
46.2 |
|
Band5 |
0.63 |
60.6 |
|
Band7 |
0.51 |
51 |
第三步、线性变换
利用表12.7中的a和b值,在ENVI的Apply Gain and Offset工具对待校正图像做线性变换,或者使用Band Math工具。步骤如下:
(1) 在Toolbox工具箱中,双击Radiometric Correction/Apply Gain and Offset工具,在Gain and Offset Input File对话框中选择“2000.dat”。
(2) 如图13.14所示,根据表13.7中的a和b值分别输入Gain和Offset。选择Output Data Type:Byte。

图13.14 Gain and Offset Values面板
(3) 选择输出路径和文件名。单击OK按钮执行运算。
不变目标法相对大气校正操作过程已经完成。
摘自《ENVI遥感图像处理方法 第二版》高等教育出版社

浙公网安备 33010602011771号