用信号量描述前趋图
1)声明有向边个数个信号量,并把它们初始化为0。每个信号量代表一条有向边。
2)声明结点个数个进程。每个进程包含对应结点代表的任务。
对于每个进程中的任务结点,如果它有直接前趋,就对所有代表直接前趋的信号量执行p操作,并且这些p操作在结点任务之前执行。
如果它有直接后继,就对所有代表直接后继的信号量执行v操作,并且这些v操作在结点任务之后执行。
3)并发执行这些进程。
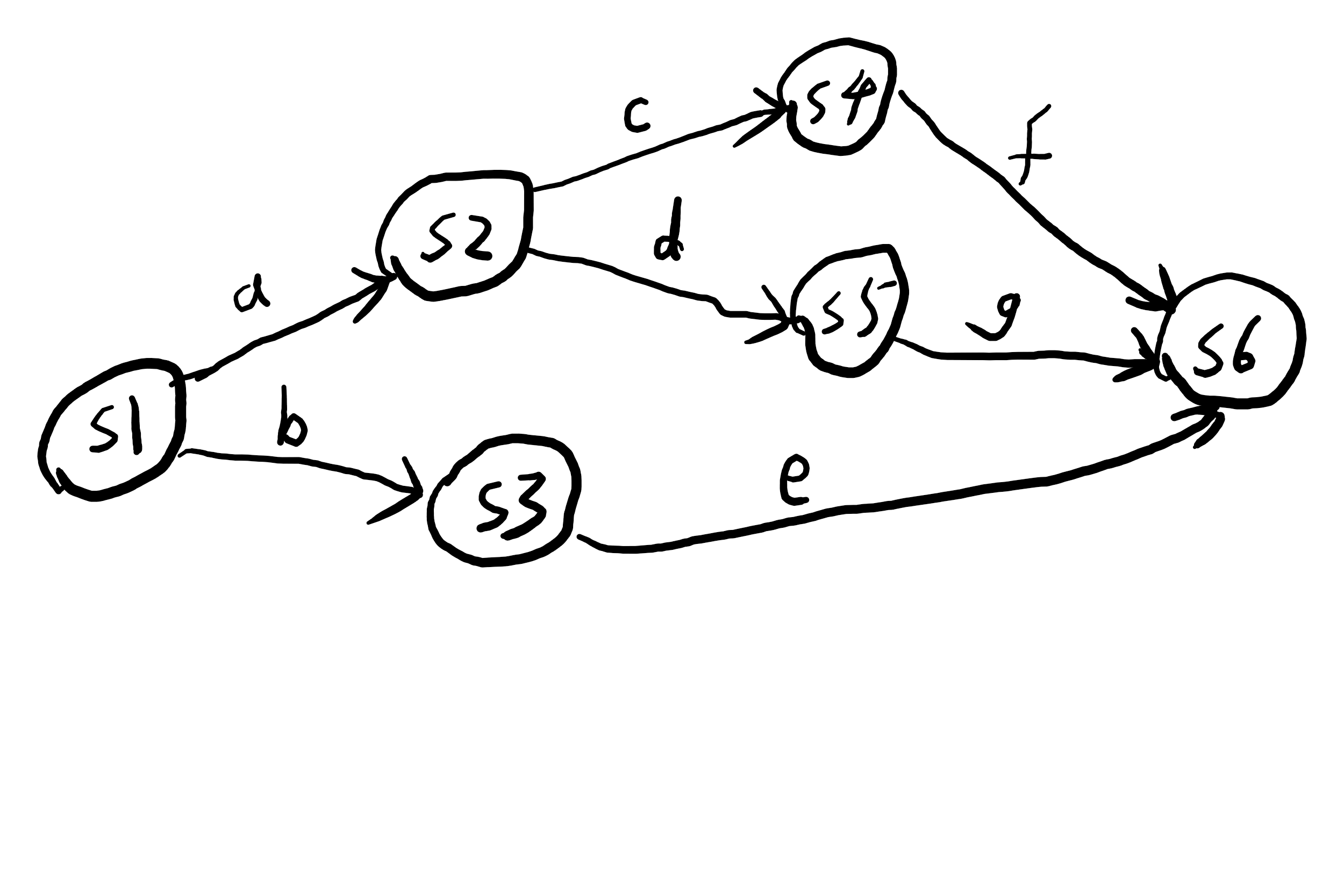
例:

伪代码
semaphere a,b,c,d,e,f,g;
//定义进程P1,用于执行s1操作
P1(){ s1(); v(a); v(b); }
//定义进程P2,用于执行s2操作
P2(){ p(a); s2(); v(c); v(d); }
//定义进程P3,用于执行s3操作
P3(){ p(b); s3(); v(e); }
//定义进程P4,用于执行s4操作
P4(){ p(c); s4(); v(f); }
//定义进程P5,用于执行s5操作
P5(){ p(d); s5(); v(g); }
//定义进程P6,用于执行s6操作
P6(){ p(e); p(g); p(f); s6(); }
main(){
a=b=c=d=e=f=g=0;
a=0,b=0,c=0,d=0,e=0,f=0,g=0;
cobegin //并发执行进程
P1(); P2(); P3(); P4(); P5(); P6();
eoend
}
浙公网安备 33010602011771号