平衡二叉树
平衡二叉树
左旋转和右旋转的实现
左旋转

//左旋转
public void leftRotate() {
//创建一个新结点 将当前结点的值赋值给它
Node newNode = new Node(this.value);
//将新结点的左子树设置成当前结点的左子树
newNode.left = this.left;
//将新结点的右子树设置为当前结点的右子结点的左子树
newNode.right = this.right.left;
//把当前结点的值换成右子结点的值
this.value = this.right.value;
//把当前结点的右子树设置成当前结点的右子结点的右子树
this.right = this.right.right;
//把当前结点的左子结点设置成新结点
this.left = newNode;
}
右旋转

//右旋转
public void rightRotate() {
//创建一个新结点,把当前结点的值赋值给新结点
Node newNode = new Node(this.value);
//将新结点的右子树设置成当前结点的右子树
newNode.right = this.right;
//将新结点的左子树设置成当前结点的左子结点的右子树
newNode.left = this.left.right;
//将当前结点的值设置成当前结点左子结点的值
this.value = this.left.value;
//将当前结点的右子结点设置成新结点
this.right = newNode;
//将当前结点的左子结点设置成左子结点的左子树
this.left = this.left.left;
}
平衡二叉树的添加
步骤
- 如果要添加的结点为空直接退出方法
- 判断传入的结点的值与当前子树的根结点的关系
- 要添加的结点的值小于当前结点的值
- 若当前结点的左子结点为空,则将该结点设置为当前结点的左子结点
- 若当前结点的左子结点不为空,递归向左子树添加
- 要添加的结点的值大于当前结点
- 若当前结点的右子结点为空,则将该结点设置为当前结点的右子结点
- 若当前结点的右子结点不为空,递归向右子树添加
- 添加完成后,在每一层子树都进行判断
- 如果右子树的高度-左子树的高度 > 1 则进行左旋转
- 如果当前结点的右子树的左子树的高度大于当前结点的右子树的右子树的高度
- 先对当前结点的右子树进行右旋转
- 然后对当前结点进行左旋转
- 方法执行后直接return;从而返回上一个栈,避免左子树的高度-右子树的高度 > 1的情况的判断条件对树造成影响
- 如果当前结点的右子树的左子树的高度大于当前结点的右子树的右子树的高度
- 左子树的高度-右子树的高度 > 1 则进行右旋转
- 如果当前结点的左子树的右子树的高度大于当前结点的左子树的左子树的高度
- 需要先对当前结点的左子树进行左旋转
- 然后对当前结点进行右旋转
- 方法执行后直接return;
- 如果当前结点的左子树的右子树的高度大于当前结点的左子树的左子树的高度
- 如果右子树的高度-左子树的高度 > 1 则进行左旋转
- 要添加的结点的值小于当前结点的值
代码实现
class AVLTree {
private Node root;
public Node getRoot() {
return root;
}
//添加结点
public void add(Node node) {
//root为空则让root指向node
if (this.root == null) {
this.root = node;
} else {
this.root.add(node);
}
}
//中序遍历
public void infixOrder() {
if (this.root == null) {
System.out.println("二叉排序树为空,无法遍历!");
} else {
this.root.infixOrder();
}
}
}
class Node {
int value;
Node left;
Node right;
public Node(int value) {
this.value = value;
}
@Override
public String toString() {
return "Node{" +
"value=" + value +
'}';
}
//左旋转
public void leftRotate() {
//创建一个新结点 将当前结点的值赋值给它
Node newNode = new Node(this.value);
//将新结点的左子树设置成当前结点的左子树
newNode.left = this.left;
//将新结点的右子树设置为当前结点的右子结点的左子树
newNode.right = this.right.left;
//把当前结点的值换成右子结点的值
this.value = this.right.value;
//把当前结点的右子树设置成当前结点的右子结点的右子树
this.right = this.right.right;
//把当前结点的左子结点设置成新结点
this.left = newNode;
}
//右旋转
public void rightRotate() {
//创建一个新结点,把当前结点的值赋值给新结点
Node newNode = new Node(this.value);
//将新结点的右子树设置成当前结点的右子树
newNode.right = this.right;
//将新结点的左子树设置成当前结点的左子结点的右子树
newNode.left = this.left.right;
//将当前结点的值设置成当前结点左子结点的值
this.value = this.left.value;
//将当前结点的右子结点设置成新结点
this.right = newNode;
//将当前结点的左子结点设置成左子结点的左子树
this.left = this.left.left;
}
//返回以当前结点为根结点的树的高度
public int height() {
//返回左子树和右子树中较大的高度再加上当前结点的高度
return Math.max(left == null ? 0 : left.height(), right == null ? 0 : right.height()) + 1;
}
//返回左子树的高度
public int leftHeight() {
if (this.left == null) {
return 0;
}
return this.left.height();
}
//返回右子树的高度
public int rightHeight() {
if (this.right == null) {
return 0;
}
return this.right.height();
}
//添加结点
public void add(Node node) {
if (node == null) {
return;
}
//判断传入的结点的值与当前子树的根结点的关系
//要添加的结点的值小于当前结点的值
if (node.value < this.value) {
//当前结点的左子结点为空
if (this.left == null) {
this.left = node;
} else {
//递归向左子树添加
this.left.add(node);
}
} else if (node.value > this.value) {//要添加的结点的值大于当前结点的值
//当前结点的右子结点为空
if (this.right == null) {
this.right = node;
} else {
//递归向右子树添加
this.right.add(node);
}
}
//当添加完一个结点后,如果右子树的高度-左子树的高度 > 1 则左旋转
if (rightHeight() - leftHeight() > 1) {
//如果当前结点的右子树的左子树的高度大于当前结点的右子树的右子树的高度
//则需要先对当前结点的右子树进行右旋转
//因为rightHeight() - leftHeight() > 1 所以this.right肯定不为null
if (this.right.leftHeight() > this.right.rightHeight()) {
this.right.rightRotate();
}
//左旋转
leftRotate();
//一定要return!因为旋转完后已经平衡,
//如果还让下面的进行判断,很有可能出问题
return;
}
//左子树的高度-右子树的高度 > 1 则右旋转
if (leftHeight() - rightHeight() > 1) {
//如果当前结点的左子树的右子树的高度大于当前结点的左子树的左子树的高度
//则需要先对当前结点的左子树进行左旋转
//因为leftHeight() - rightHeight() > 1 所以this.left肯定不为null
if (this.left.rightHeight() > this.left.leftHeight()) {
this.left.leftRotate();
}
//右旋转
rightRotate();
return;
}
}
//中序遍历
public void infixOrder() {
if (this.left != null) {
this.left.infixOrder();
}
System.out.println(this);
if (this.right != null) {
this.right.infixOrder();
}
}
}
平衡二叉树的删除
删除操作,也和二叉排序树的删除差不多,只是在删除完结点后,要重新判断左右孩子的深度,如果失衡,就要调整。
平衡二叉树删除结点的三种情况
- 被删除的结点为叶子结点,就找到了要删除的结点
- 被删除的结点有左子树或者右子树
- 被删除的结点既有左子树,又有右子树
删除叶子结点
例子1:
- 我们删除14结点,递归返回
- 返回到双亲结点10,判断结点的10的左右深度,发现结点10的左子树的高度-右子树的高度=1,因此不用做调整,递归返回
- 返回到根结点20,判断结点20的左右深度,发现结点20左子树的高度-右子树的高度=-1,因此不用做调整
- 所以,调整后,不用做任何调整,得到平衡二叉树
例子2:
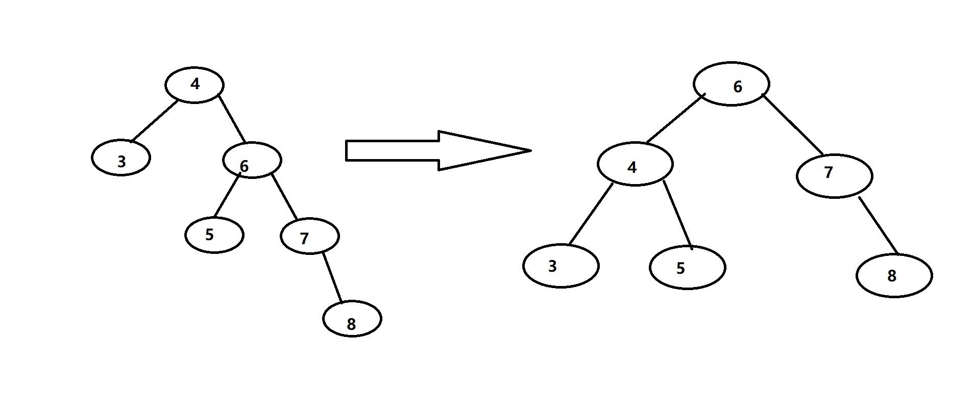
我们删除结点7,可以发现是个叶子结点,直接删除,得到下面这棵二叉树:
可以发现,原本结点7的父结点8的左右子树的高度都为0,达到平衡。故继续向上查找,发现8的父结点20的左子树高度与右子树高度差值为2,也就是该结点20失衡。需要进行调整。这个地方要进行何种调整呢?这里发现结点30的左子树高度大于右子树高度,则我们需要先对以结点30为根结点的子树进行右旋转得到下图。
接下来对以20为根结点的树进行左旋,得到下图,这就是调整后的树的形状。
例子3:
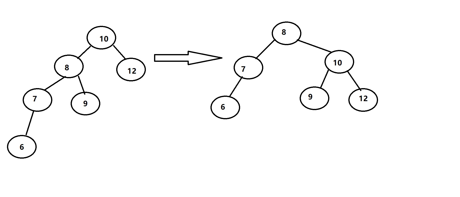
将上图中结点8删除,得到下图:
可以观察到该树处于失衡状态。结点20处于平衡状态,结点25的左右子树高度差为2,需要进行调整。我们找到结点20的右子树上的子结点30,发现结点30的左右子树高度一样,因此我们只需进行RR型调整,也就是左旋一次,根据结点30进行逆时针旋转。调整后的树如下:
删除叶子结点的步骤
- 将该结点直接从树中删除
2.向上递归判断父亲或者祖先是否失衡
3.如果其父结点未失衡,则继续向上检索推算其父结点的父结点是否失衡...如此反复2的判断,直到根结点;如果向上推算过程中发现了失衡的现象,则进行4的处理;
4.如果其父结点失衡
- 在调整该父结点时,左子树的高度-右子树的高度 > 1 则右旋转,如果当前结点的左子树的右子树的高度大于当前结点的左子树的左子树的高度,则需要先对当前结点的左子树进行左旋转,然后再对父结点进行右旋转;
- 如果右子树的高度-左子树的高度 > 1 则左旋转,如果当前结点的右子树的左子树的高度大于当前结点的右子树的右子树的高度,则需要先对当前结点的右子树进行右旋转,再对父结点进行左旋转。
5.如果平衡化处理结束后,发现与原来以父结点为根结点的树的高度发生变化,则继续进行2的检索推算;如果与原来以父结点为根结点的高度一致时,则可说明父结点的父结点及祖先结点的平衡因子将不会有变化,因此可以退出处理
删除结点只有左子树或只有右子树
例子1:
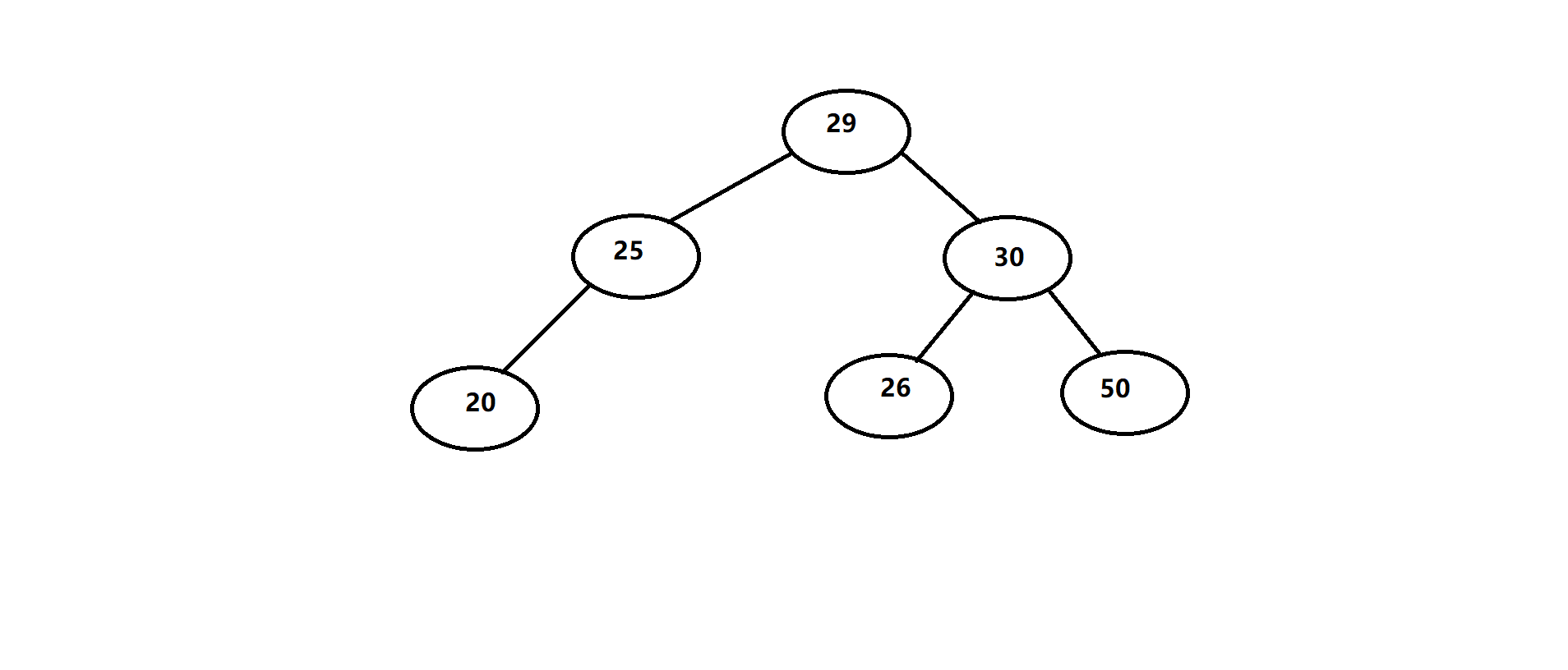
在该平衡树中,我们要删除的是值为29的结点。我们用该结点的左子树替换该结点,然后删除值为29这个结点。得到树的形状如下:
可以看到该树已经处于平衡状态。不需要进行处理。
如果将例子1中值为40的结点删除,先用其右子树与之替换,然后删除该结点,可以得到如下的形状:
后面的操作与删除叶子结点一样。
可以发现该树失衡。我们找到值为50的结点,找到其父结点,结点值为30。然后找到其左孩子,结点值为25。发现该结点的右子树比左子树高度高。因此我们这里要先进行左旋,也就是绕值为29的结点进行逆时针旋转,得到下图:
接下来进行右旋,得到下图。

删除结点有左子树或右子树的步骤
- 将左子树(右子树)替代原有删除结点的位置
2.向上递归判断父亲或者祖先是否失衡
3.如果其父结点未失衡,则继续向上检索推算其父结点的父结点是否失衡...如此反复2的判断,直到根结点;如果向上推算过程中发现了失衡的现象,则进行4的处理;
4.如果其父结点失衡
- 在调整该父结点时,左子树的高度-右子树的高度 > 1 则右旋转,如果当前结点的左子树的右子树的高度大于当前结点的左子树的左子树的高度,则需要先对当前结点的左子树进行左旋转,然后再对父结点进行右旋转;
- 如果右子树的高度-左子树的高度 > 1 则左旋转,如果当前结点的右子树的左子树的高度大于当前结点的右子树的右子树的高度,则需要先对当前结点的右子树进行右旋转,再对父结点进行左旋转。
5.如果平衡化处理结束后,发现与原来以父结点为根结点的树的高度发生变化,则继续进行2的检索推算;如果与原来以父结点为根结点的高度一致时,则可说明父结点的父结点及祖先结点的平衡因子将不会有变化,因此可以退出处理
删除结点既有左子树又有右子树
例子1:
我们从该平衡树中删除结点20,我们分析得到结点20的左子树的高度-右子树的高度=1,因此我们从结点20的左子树中找到最大值,最大值为结点15。我们对两个结点的值进行替换。得到的树的形状如下所示:
接下来删除结点20,得到下图。
发现原先删除的结点20的父结点10的左子树高度-右子树高度=2,处于失衡状态。因此需要对以10为根结点的子树进行调整,要先进行一次左旋操作,得到下图:
再进行一次右旋操作。最后得到的树的形状如下:
删除结点有左右子树的步骤
- 如果当前结点的左子树的高度大于等于右子树的高度 则从左子树中找最大值和要删除的结点的值进行替换
- 如果当前结点右子树的高度大于左子树的高度 则从右子树中找最小值和要删除的结点的值进行替换
- 替换完后,左子树的最大值的结点(右子树的最小值的结点)就变成了我们要删除的对象
- 最大值在左子树的位置要么是叶子结点,要么是没有右子树的一个结点,最小值在左子树的位置要么是叶子结点,要么是没有左子树的一个结点
- 最后,只需再按照删除叶子结点或者只有一棵子树的结点的方法删除即可
代码实现
该方法用于删除叶子结点或者有一个子结点的情况下,对失衡进行调整。
public void adjust(Node parent) {
while (parent != null) {
//如果右子树的高度-左子树的高度 > 1 则左旋转
if (parent.rightHeight() - parent.leftHeight() > 1) {
//如果当前结点的右子树的左子树的高度大于当前结点的右子树的右子树的高度
//则需要先对当前结点的右子树进行右旋转
//因为rightHeight() - leftHeight() > 1 所以this.right肯定不为null
if (parent.right.leftHeight() > parent.right.rightHeight()) {
parent.right.rightRotate();
}
//左旋转
parent.leftRotate();
}
//左子树的高度-右子树的高度 > 1 则右旋转
else if (parent.leftHeight() - parent.rightHeight() > 1) {
//如果当前结点的左子树的右子树的高度大于当前结点的左子树的左子树的高度
//则需要先对当前结点的左子树进行左旋转
//因为leftHeight() - rightHeight() > 1 所以this.left肯定不为null
if (parent.left.rightHeight() > parent.left.leftHeight()) {
parent.left.leftRotate();
}
//右旋转
parent.rightRotate();
}
parent = searchParent(parent.value);
}
}
完整的代码实现
class AVLTree {
private Node root;
public Node getRoot() {
return root;
}
//添加结点
public void add(Node node) {
//root为空则让root指向node
if (this.root == null) {
this.root = node;
} else {
this.root.add(node);
}
}
//中序遍历
public void infixOrder() {
if (this.root == null) {
System.out.println("二叉排序树为空,无法遍历!");
} else {
this.root.infixOrder();
}
}
//查找要删除的结点
public Node search(int value) {
if (this.root == null) {
return null;
} else {
return this.root.search(value);
}
}
public Node search(int value,Node virtualRoot) {
if (virtualRoot == null) {
return null;
} else {
return virtualRoot.search(value);
}
}
//查找要删除结点的父结点
public Node searchParent(int value) {
if (this.root == null) {
return null;
} else {
return this.root.searchParent(value);
}
}
public Node searchParent(int value,Node virtualRoot) {
if (virtualRoot == null) {
return null;
} else {
return virtualRoot.searchParent(value);
}
}
public void adjust(Node parent) {
while (parent != null) {
//如果右子树的高度-左子树的高度 > 1 则左旋转
if (parent.rightHeight() - parent.leftHeight() > 1) {
//如果当前结点的右子树的左子树的高度大于当前结点的右子树的右子树的高度
//则需要先对当前结点的右子树进行右旋转
//因为rightHeight() - leftHeight() > 1 所以this.right肯定不为null
if (parent.right.leftHeight() > parent.right.rightHeight()) {
parent.right.rightRotate();
}
//左旋转
parent.leftRotate();
}
//左子树的高度-右子树的高度 > 1 则右旋转
else if (parent.leftHeight() - parent.rightHeight() > 1) {
//如果当前结点的左子树的右子树的高度大于当前结点的左子树的左子树的高度
//则需要先对当前结点的左子树进行左旋转
//因为leftHeight() - rightHeight() > 1 所以this.left肯定不为null
if (parent.left.rightHeight() > parent.left.leftHeight()) {
parent.left.leftRotate();
}
//右旋转
parent.rightRotate();
}
parent = searchParent(parent.value);
}
}
/**
* @param node 传入的结点
* @return 返回以node为根节点的二叉排序树的最小结点的值
*/
public Node findRightTreeMin(Node node) {
Node target = node;
while (target.left != null) {
target = target.left;
}
return target;
}
/**
* @param node 传入的结点
* @return 返回以node为根节点的二叉排序树的最大结点的值
*/
public Node findLeftTreeMax(Node node) {
Node target = node;
while (target.right != null) {
target = target.right;
}
return target;
}
//删除结点
/*
第一种情况: 删除叶子节点 (比如:2, 5, 9, 12)
思路
(1) 需求先去找到要删除的结点 targetNode
(2) 找到 targetNode 的 父结点 parent
(3) 确定 targetNode 是 parent 的左子结点 还是右子结点
(4) 根据前面的情况来对应删除 左子结点 parent.left = null 右子结点 parent.right = null;
第二种情况: 删除只有一颗子树的节点 比如 1 思路
(1) 需求先去找到要删除的结点 targetNode
(2) 找到 targetNode 的 父结点 parent
(3) 确定 targetNode 的子结点是左子结点还是右子结点
(4) targetNode 是 parent 的左子结点还是右子结点
(5) 如果 targetNode 有左子结点
5. 1 如果 targetNode 是 parent 的左子结点
parent.left = targetNode.left;
5.2 如果 targetNode 是 parent 的右子结点 parent.right = targetNode.left;
(6) 如果 targetNode 有右子结点
6.1 如果 targetNode 是 parent 的左子结点 parent.left = targetNode.right;
6.2 如果 targetNode 是 parent 的右子结点 parent.right = targetNode.right;
情况三 : 删除有两颗子树的节点. (比如:7, 3,10 )
思路
(1) 需求先去找到要删除的结点 targetNode
(2) 找到 targetNode 的 父结点 parent
(3) 从 targetNode 的右子树找到最小的结点
(4) 用一个临时变量,将 最小结点的值保存 temp = 11
(5) 删除该最小结点
(6) targetNode.value = temp
*/
public void delNode(int value) {
if (this.root == null) {
return;
} else {
//找到要删除的结点
Node targetNode = search(value);
//没有找到
if (targetNode == null) {
return;
}
//如果二叉树只有一个结点,而且前面又找到了要删除的结点
//则说明根节点就是我们要删除的结点
if (this.root.left == null && this.root.right == null) {
this.root = null;
return;
}
//找到targetNode 父结点
Node parent = searchParent(value);
//如果要删除的结点是叶子结点
if (targetNode.left == null && targetNode.right == null) {
//判断targetNode是父结点的左子结点还是右子结点
if (parent.left != null && parent.left.value == value) {
parent.left = null;
} else if (parent.right != null && parent.right.value == value) {
parent.right = null;
}
//删除后对每个父节点进行检查是否失衡并进行调整
adjust(parent);
//如果targetNode有左右子树
} else if (targetNode.left != null && targetNode.right != null) {
//如果targetNode左子树的高度大于等于右子树的高度 则从左子树中找最大值和要删除的结点的值进行替换
//替换完后,左子树的最大值的结点就变成了我们要删除的对象
//而最大值在左子树的位置要么是叶子结点,要么是没有右子树的一个结点
//则只需再按照删除叶子结点或者只有一棵子树的结点的方法删除即可
if (targetNode.leftHeight() - targetNode.rightHeight() >= 0) {
Node LeftMaxNode = findLeftTreeMax(targetNode.left);
int temp = LeftMaxNode.value;
LeftMaxNode.value = targetNode.value;
targetNode.value = temp;
delNode(LeftMaxNode.value,targetNode.left);
}else {
//如果targetNode右子树的高度大于左子树的高度 则从右子树中找最小值和要删除的结点的值进行替换
//替换完后,右子树的最小值的结点就变成了我们要删除的对象
//而最小值在左子树的位置要么是叶子结点,要么是没有左子树的一个结点
//则只需再按照删除叶子结点或者只有一棵子树的结点的方法删除即可
Node rightMaxNode = findRightTreeMin(targetNode);
int temp = rightMaxNode.value;
rightMaxNode.value = targetNode.value;
targetNode.value = temp;
delNode(rightMaxNode.value,targetNode.right);
}
} else { //只有一个子结点
//如果targetNode有左子结点
if (targetNode.left != null) {//需要考虑删除的结点是不是根结点
if (parent != null) {//当要删除的结点不是根结点
//如果targetNode是parent的左子结点
if (parent.left.value == value) {
parent.left = targetNode.left;
} else {//targetNode是parent的右子结点
parent.right = targetNode.left;
}
} else {//要删除的结点是根结点 删除后不需要进行调整
this.root = targetNode.left;
}
} else { //targetNode有右子结点
if (parent != null) {//要删除的结点不是根结点
//targetNode 是 parent的左子结点
if (parent.left.value == value) {
parent.left = targetNode.right;
} else {//targetNode是parent的右子结点
parent.right = targetNode.right;
}
} else {//要删除的结点是根结点
this.root = targetNode.right;
}
}
//删除后对每个父节点进行检查是否失衡并进行调整
adjust(parent);
}
}
}
//重载删除方法,用于将删除有左子树和右子树的结点转化成删除叶子节点或单子树结点
public void delNode(int value,Node virtualRoot) {
if (virtualRoot == null) {
return;
} else {
//找到要删除的结点
Node targetNode = search(value,virtualRoot);
//没有找到
if (targetNode == null) {
return;
}
//如果二叉树只有一个结点,而且前面又找到了要删除的结点
//则说明根节点就是我们要删除的结点
if (virtualRoot.left == null && virtualRoot.right == null) {
virtualRoot = null;
return;
}
//找到targetNode 父结点
Node parent = searchParent(value,virtualRoot);
//如果要删除的结点是叶子结点
if (targetNode.left == null && targetNode.right == null) {
//判断targetNode是父结点的左子结点还是右子结点
if (parent.left != null && parent.left.value == value) {
parent.left = null;
} else if (parent.right != null && parent.right.value == value) {
parent.right = null;
}
//删除后对每个父节点进行检查是否失衡并进行调整
adjust(parent);
//如果targetNode有左右子树
} else if (targetNode.left != null && targetNode.right != null) {
//如果targetNode左子树的高度大于等于右子树的高度 则从左子树中找最大值和要删除的结点的值进行替换
//替换完后,左子树的最大值的结点就变成了我们要删除的对象
//而最大值在左子树的位置要么是叶子结点,要么是没有右子树的一个结点
//则只需再按照删除叶子结点或者只有一棵子树的结点的方法删除即可
if (targetNode.leftHeight() - targetNode.rightHeight() >= 0) {
Node LeftMaxNode = findLeftTreeMax(targetNode.left);
int temp = LeftMaxNode.value;
LeftMaxNode.value = targetNode.value;
targetNode.value = temp;
delNode(LeftMaxNode.value,virtualRoot);
}else {
//如果targetNode右子树的高度大于左子树的高度 则从右子树中找最小值和要删除的结点的值进行替换
//替换完后,右子树的最小值的结点就变成了我们要删除的对象
//而最小值在左子树的位置要么是叶子结点,要么是没有左子树的一个结点
//则只需再按照删除叶子结点或者只有一棵子树的结点的方法删除即可
Node rightMaxNode = findRightTreeMin(targetNode);
int temp = rightMaxNode.value;
rightMaxNode.value = targetNode.value;
targetNode.value = temp;
delNode(rightMaxNode.value,virtualRoot);
}
} else { //只有一个子结点
//如果targetNode有左子结点
if (targetNode.left != null) {//需要考虑删除的结点是不是根结点
if (parent != null) {//当要删除的结点不是根结点
//如果targetNode是parent的左子结点
if (parent.left.value == value) {
parent.left = targetNode.left;
} else {//targetNode是parent的右子结点
parent.right = targetNode.left;
}
} else {//要删除的结点是根结点 删除后不需要进行调整
virtualRoot = targetNode.left;
}
} else { //targetNode有右子结点
if (parent != null) {//要删除的结点不是根结点
//targetNode 是 parent的左子结点
if (parent.left.value == value) {
parent.left = targetNode.right;
} else {//targetNode是parent的右子结点
parent.right = targetNode.right;
}
} else {//要删除的结点是根结点
virtualRoot = targetNode.right;
}
}
//删除后对每个父节点进行检查是否失衡并进行调整
adjust(parent);
}
}
}
}
class Node {
int value;
Node left;
Node right;
public Node(int value) {
this.value = value;
}
@Override
public String toString() {
return "Node{" +
"value=" + value +
'}';
}
//左旋转
public void leftRotate() {
//创建一个新结点 将当前结点的值赋值给它
Node newNode = new Node(this.value);
//将新结点的左子树设置成当前结点的左子树
newNode.left = this.left;
//将新节点的右子树设置为当前结点的右子结点的左子树
newNode.right = this.right.left;
//把当前结点的值换成右子结点的值
this.value = this.right.value;
//把当前结点的右子树设置成当前结点的右子结点的右子树
this.right = this.right.right;
//把当前结点的左子结点设置成新结点
this.left = newNode;
}
//右旋转
public void rightRotate() {
//创建一个新结点,把当前结点的值赋值给新结点
Node newNode = new Node(this.value);
//将新结点的右子树设置成当前结点的右子树
newNode.right = this.right;
//将新结点的左子树设置成当前结点的左子结点的右子树
newNode.left = this.left.right;
//将当前结点的值设置成当前结点左子结点的值
this.value = this.left.value;
//将当前结点的右子结点设置成新结点
this.right = newNode;
//将当前结点的左子结点设置成左子结点的左子树
this.left = this.left.left;
}
//返回以当前结点为根结点的树的高度
public int height() {
//返回左子树和右子树中较大的高度再加上当前结点的高度
return Math.max(left == null ? 0 : left.height(), right == null ? 0 : right.height()) + 1;
}
//返回左子树的高度
public int leftHeight() {
if (this.left == null) {
return 0;
}
return this.left.height();
}
//返回右子树的高度
public int rightHeight() {
if (this.right == null) {
return 0;
}
return this.right.height();
}
//添加结点
public void add(Node node) {
if (node == null) {
return;
}
//判断传入的结点的值与当前子树的根结点的关系
//要添加的结点的值小于当前结点的值
if (node.value < this.value) {
//当前结点的左子结点为空
if (this.left == null) {
this.left = node;
} else {
//递归向左子树添加
this.left.add(node);
}
} else if (node.value > this.value) {//要添加的结点的值大于当前结点的值
//当前结点的右子结点为空
if (this.right == null) {
this.right = node;
} else {
//递归向右子树添加
this.right.add(node);
}
}
//当添加完一个结点后,如果右子树的高度-左子树的高度 > 1 则左旋转
if (rightHeight() - leftHeight() > 1) {
//如果当前结点的右子树的左子树的高度大于当前结点的右子树的右子树的高度
//则需要先对当前结点的右子树进行右旋转
//因为rightHeight() - leftHeight() > 1 所以this.right肯定不为null
if (this.right.leftHeight() > this.right.rightHeight()) {
this.right.rightRotate();
}
//左旋转
leftRotate();
//一定要return!因为旋转完后已经平衡,
//如果还让下面的进行判断,很有可能出问题
return;
}
//左子树的高度-右子树的高度 > 1 则右旋转
if (leftHeight() - rightHeight() > 1) {
//如果当前结点的左子树的右子树的高度大于当前结点的左子树的左子树的高度
//则需要先对当前结点的左子树进行左旋转
//因为leftHeight() - rightHeight() > 1 所以this.left肯定不为null
if (this.left.rightHeight() > this.left.leftHeight()) {
this.left.leftRotate();
}
//右旋转
rightRotate();
return;
}
}
//中序遍历
public void infixOrder() {
if (this.left != null) {
this.left.infixOrder();
}
System.out.println(this);
if (this.right != null) {
this.right.infixOrder();
}
}
//查找要删除的结点
public Node search(int value) {
if (value == this.value) {
return this;
} else if (value < this.value) {//往左子树找
if (this.left == null) {
return null;
}
return this.left.search(value);
} else {//往右子树找
if (this.right == null) {
return null;
}
return this.right.search(value);
}
}
//查找要删除结点的父结点
public Node searchParent(int value) {
//如果当前结点是父结点,直接返回
if ((this.left != null && this.left.value == value)
|| (this.right != null && this.right.value == value)) {
return this;
} else {
//如果查找的这个值小于当前结点的值
//且当前结点的左子结点不为空
if (value < this.value && this.left != null) {
//向左子树递归查找
return this.left.searchParent(value);
} else if (value > this.value && this.right != null) {
//向右子树
return this.right.searchParent(value);
}
}
//没有找到
return null;
}
}
对代码中的一些解释:
为什么要重载delNode、searchParent、search方法?
对于第三种情况,既有左子树又又右子树,我们是把要删除的结点和子树中的最大或最小值的位置进行替换,把删出有左子树和右子树的情况换成了删除叶子结点或者有一个子结点的情况,但是,替换的的位置往往和它的值的大小所该在的子树不符,比如:从左子树找最大值和要删除的结点(也就是左子树的父结点)进行交换,左子树的值全部都是小于父结点的,这时候就相当于,左子树中有了一个大于根结点的值,而在查找的时候,默认大于根结点的值都在右子树,使用默认的删除方法、查找方法、查找父结点的方法都是从根结点开始查找的,是无法查到要删除的结点的,这时候就需要重载一下这三个方法,修改其根结点为传入的子树的根结点,这样就可以查找并删除它了。

浙公网安备 33010602011771号