会员
众包
新闻
博问
闪存
赞助商
HarmonyOS
Chat2DB
所有博客
当前博客
我的博客
我的园子
账号设置
会员中心
简洁模式
...
退出登录
注册
登录
会游泳的鱼
大家好,欢迎参观!!!
博客园
首页
新随笔
联系
订阅
管理
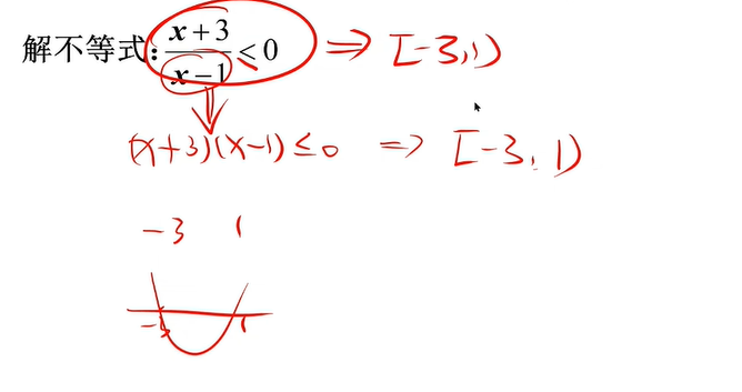
图片
本文来自博客园,作者:
EJW
,转载请注明原文链接:
https://www.cnblogs.com/ejjw/p/18925488
posted @
2025-06-12 15:03
EJW
阅读(
11
) 评论(
0
)
收藏
举报
刷新页面
返回顶部
公告