Hello 算法——只是开胃菜
1. 初识算法
1.1 二分查找:查字典
1.2 插入排序:整理扑克牌(处理小型数据集时非常高效)
1.3 贪心算法:货币找零(每一步都采取当前看来最好的选择)
2. (渐进)复杂度分析(asymptotic complexity analysis)
2.1 算法效率评估:两个维度 ➡ time 、 space
2.2 迭代与递归
2.2.1 迭代(iteration)
// for循环:适用于在预先知道迭代次数的情况下
eg:1 + 2 + … + n
int ForLoop(int n)
{
int res = 0;
for (int i = 1; i <= n; i++)
//for循环中 ++i和 i++ 是等价的
{
res += i;
}
return res;
}
这样的求和函数的操作数量与输入数据大小 n 成正比,或者说成“线性关系”。
// while循环
int WhileLoop(int n)
{
int res = 0;
int i = 1;
while (i <= n)
{
res += i;
i++;
}
return res;
}
**while** 循环比 **for**循环的自由度更高,可自由设计更新条件
但是可以看出,**for** 循环的代码更加紧凑,**while** 循环更加灵活
// 嵌套循环
char *nestedForLoop(int n) {
// n * n 为对应点数量,"(i, j), " 对应字符串长最大为 6+1*2,加上最后一个空字符 \0 的额外空间
//6 是固定部分的长度,包括 "("、", " 和 "), " 这些字符
//假设i和j都是一位数字
int size = n * n * 8 + 1;
char *res = malloc(size*sizeof(char));
for(int i = 1; i <= n; i++){
for(int j = 1; j <= n; j++){
char tmp[8];
snprintf(tmp, 8, "(%d, %d), ", i, j);
strncat(res, tmp, size-strlen(res)-1);
}
}
return res;
}
操作数量与 n 成平方关系
2.2.2 递归(recursion)
递:程序不断深入地调用自身,直到达到“终止条件”。
归:触发“终止条件”后,从最深层开始逐层返回,汇聚每一层的结果。
// 递归
int recur(int n){
if (n == 1)
return 1;
int fn = recur(n-1) + n;
return fn;
}

两种操作方式的区别:

//尾递归(tail recursion)
同样还是求和问题:
// 尾递归函数
int TailRecur(int n, int res){
if (n == 0)
return res;
return TailRecur(n - 1, n + res);
}

//递归树

// 递归树,斐波那契数列
int fib(int n){
// 递归终止条件:前两项
if(n == 1 || n == 2)
return n-1;
int fn = fib(n-1) + fib(n-2);
return fn;
}

从本质上看,递归体现了“将问题分解为更小子问题”的思维范式,这种分治策略至关重要。
- 从算法角度看,搜索、排序、回溯、分治、动态规划等许多重要算法策略直接或间接地应用了这种思维方式。
- 从数据结构角度看,递归天然适合处理链表、树和图的相关问题,因为它们非常适合用分治思想进行分析。

// 栈
/* 使用迭代模拟递归 */
int forLoopRecur(int n) {
//栈
int stack[100];
//栈顶索引
int topStack = -1;
//入栈:索引从栈顶向上
for(int i = n; i > 0; i--){
stack[1 + topStack++] = i;
}
//入栈操作全部完成后,栈顶在最上面
//出栈:索引从栈顶向下
int res = 0;
while(topStack >= 0){
res += stack[topStack--];
}
return res;
}
2.3 时间复杂度
2.3.1 统计时间增长趋势

2.3.2 函数渐进上界


2.3.4 常见复杂度类型
1. 常数阶 O(1)
操作数量与输入数据大小 n 无关。
2. 线性阶O(n)
常出现在单层循环中。
3. 平方阶O(n²)
常出现在嵌套循环中。
eg:冒泡排序
//冒泡排序 操作数
int bubble(int *nums,int n){
int count = 0;
for (int i = n - 1; i >= 0; i--){
for (int j = 0; j < i; j++){
if (nums[j] > nums[j+1]){
int temp = nums[j];
nums[j] = nums[j+1];
nums[j+1] = temp;
//单层操作数为3
count += 3;
}
}
}
return count;
}
- 指数阶 O(2^n)
2⁰ + 2¹ + … + 2^n
// 指数阶 循环实现
int Exponential(int n) {
int count = 0;
int bas = 1;
// 每轮count=2^n,共n-1轮相加
// 也就是2^0+2^1+2^2+...+2^(n-1)
for (int i = 0; i < n; i ++){
for (int j = 0; j < bas; j ++){
count ++;
}
bas *= 2;
}
return count;
}
// f(n) = 1 + 2^1 + 2^2 + ...+ 2^(n-1)
// 每次递归(子任务):f(n) = 1 + 2f(n-1) 后面这些项每一项都是前一项的2倍
// 指数阶 递归实现
int ExponentialRecur(int n) {
if (n == 1)
return 1;
int fn = 1 + 2 * ExponentialRecur(n - 1);
return fn;
}
5. 对数阶O(log n)

与指数阶相反,对数阶反映了“每轮缩减到一半”的情况。设输入数据大小为 n ,由于每轮缩减到一半,因此循环次数是 log2n ,即 2^n的反函数

// 对数阶 循环实现
// 对数阶:复杂度是对数阶
int logLoop(int n){
int count = 0;
while(n > 1){
n /= 2;
count++;
}
return count;
}
// 对数阶 递归实现
// f(n) = n/2 + n/4 + ... + 1
// 每次递归(子任务):f(n) = n/2 + 1
int logRecur(int n)
{
if (n <= 1){
return 0;
}
return logRecur(n / 2) + 1;
}
6. 线性对数阶 O( nlog n )
常出现于嵌套循环中。
/* 线性对数阶 */
int linearLogRecur(int n) {
if (n <= 1)
return 1;
//n + n/2 + n/4 +... + 1
// 把第一次n 分解成两个子任务(二叉树),即为两个n/2开始的线性对数阶
int count = linearLogRecur(n / 2) + linearLogRecur(n / 2);
for (int i = 0; i < n; i++) {
count++;
}
return count;
}

复杂度:n*(log2(n) + 1)
6. 阶乘阶 O(n!)
全排列问题

/* 阶乘阶(递归实现) */
int factorialRecur(int n) {
if (n == 0)
return 1;
int count = 0;
for (int i = 0; i < n; i++) {
count += factorialRecur(n - 1);
}
return count;
}

2.3.5 最差、最佳、平均时间复杂度
最差时间复杂度更为实用,因为它给出了一个效率安全值。
通常使用最差时间复杂度作为算法效率的评判标准。
2.4 空间复杂度

通常只关注 最差空间复杂度,也就是最占用空间资源的情况下
递归函数中,需要注意统计栈帧空间:
int func() {
// 执行某些操作
return 0;
}
/* 循环的空间复杂度为 O(1) */
void loop(int n) {
for (int i = 0; i < n; i++) {
func();
}
}
/* 递归的空间复杂度为 O(n) */
void recur(int n) {
if (n == 1) return;
return recur(n - 1);
}
常见类型:
1. 常数阶 O(1)
循环中初始化变量或调用函数而占用的内存,进入下次循环则被释放,不会累积占用空间。
/* 函数 */
int func() {
// 执行某些操作
return 0;
}
/* 常数阶 */
void constant(int n) {
// 常量、变量、对象占用 O(1) 空间
const int a = 0;
int b = 0;
int nums[1000];
ListNode *node = newListNode(0);
free(node);
// 循环中的变量占用 O(1) 空间
for (int i = 0; i < n; i++) {
int c = 0;
}
// 循环中的函数占用 O(1) 空间
for (int i = 0; i < n; i++) {
func();
}
}
2. 线性阶O(n)
常出现在 元素数量与 n 成正比的数组、链表、栈、队列。
/* 哈希表 */
typedef struct {
int key;
int val;
UT_hash_handle hh; // 基于 uthash.h 实现
} HashTable;
/* 线性阶 */
void linear(int n) {
// 长度为 n 的数组占用 O(n) 空间
int *nums = malloc(sizeof(int) * n);
free(nums);
// 长度为 n 的列表占用 O(n) 空间
ListNode **nodes = malloc(sizeof(ListNode *) * n);
for (int i = 0; i < n; i++) {
nodes[i] = newListNode(i);
}
// 内存释放
for (int i = 0; i < n; i++) {
free(nodes[i]);
}
free(nodes);
// 长度为 n 的哈希表占用 O(n) 空间
HashTable *h = NULL;
for (int i = 0; i < n; i++) {
HashTable *tmp = malloc(sizeof(HashTable));
tmp->key = i;
tmp->val = i;
HASH_ADD_INT(h, key, tmp);
}
// 内存释放
HashTable *curr, *tmp;
HASH_ITER(hh, h, curr, tmp) {
HASH_DEL(h, curr);
free(curr);
}
}
//递归:线性阶
/* 线性阶(递归实现) */
void linearRecur(int n) {
printf("递归 n = %d\r\n", n);
if (n == 1)
return;
linearRecur(n - 1);
}

3. 平方阶O(n²)
常出现在矩阵、图。
void quadratic(int n) {
// 二维列表占用 O(n^2) 空间
int **numMatrix = malloc(sizeof(int *) * n);
for (int i = 0; i < n; i++) {
int *tmp = malloc(sizeof(int) * n);
for (int j = 0; j < n; j++) {
tmp[j] = 0;
}
numMatrix[i] = tmp;
}
// 内存释放
for (int i = 0; i < n; i++) {
free(numMatrix[i]);
}
free(numMatrix);
}
/* 平方阶(递归实现) */
int quadraticRecur(int n) {
if (n <= 0)
return 0;
int *nums = malloc(sizeof(int) * n);
printf("递归 n = %d 中的 nums 长度 = %d\r\n", n, n);
int res = quadraticRecur(n - 1);
free(nums);
return res;
}

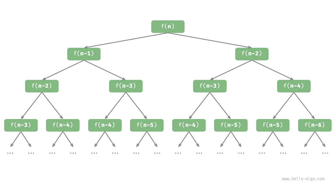
4. 指数阶 O(2^n)
常见于二叉树。
/* 指数阶(建立满二叉树) */
TreeNode *buildTree(int n) {
if (n == 0)
return NULL;
TreeNode *root = newTreeNode(0);
root->left = buildTree(n - 1);
root->right = buildTree(n - 1);
return root;
}

5. 对数阶 O(log n)
常见于分治算法。
3. 数据结构

物理结构:连续空间存储(数组)、分散空间存储(链表)
所有数据结构都是基于数组、链表或二者的组合实现的。
动态数据结构:链表
静态数据结构:数组(初始化后长度不可变)
3.2 数据类型
//整型 字节 (位数=字节数*8) (最小值=-2^(位数-1) 最大值=2^(位数-1)-1)
byte 1
short 2
int 4
long 8
//浮点数
float 4
double 8
//其他
bool 1
char 2
string

3.3 编码知识(常识)
原码 > 0 ,补码 = 原码 = 反码
原码 < 0 ,补码 = 反码 + 1 , 反码 = 原码除符号位外的所有位取反
(原码也可以是补码的反码+1)
特殊的补码: 1000_0000 代表 -128
3.3.2 浮点数编码


**float**` **的表示方式包含指数位,导致其取值范围远大于** `**int**
3.4 字符编码
// ASCII 码
// GBK 字符集:每个ASCII字符对应一个字节,每个汉字对应2个字节,因此char类型的字符可以是汉字
// Unicode字符集(统一码)
用这个Unicode字符集的话,当多种长度的 Unicode 码点同时出现在一个文本中时,系统如何解析字符?
其一解决方案:将所有字符存储为等长的编码(1字节的字符高位补0,扩充为2字节)

// UTF-8编码(最常用的Unicode字符集编码方式)
本质:可变长度编码
ASCII 字符只需 1 字节,拉丁字母和希腊字母需要 2 字节,常用的中文字符需要 3 字节,其他的一些生僻字符需要 4 字节。
UTF-16 编码:使用 2 或 4 字节来表示一个字符
UTF-32 编码:每个字符都使用 4 字节
// 编程语言的字符编码
采用 UTF-16 或 UTF-32 这类等长编码

浙公网安备 33010602011771号