12.5
软件需求分析
考试系统:中心模块,负责管理考试相关的所有功能和数据处理。
管理员:负责创建相关的基础信息,确保考试系统的正常运行。
学生:学生可以通过考试系统查看题目并提交答案。系统会向学生发送成绩报告,反馈他们的考试结果。
教师:教师可以在系统中设置考试相关的信息。教师还负责处理学生提交的答案数据,并根据这些数据进行评估。
交互流程:学生与考试系统之间的互动包括查看题目、提交答案和接收成绩。
教师与考试系统的互动则包括设置考试信息和处理答案数据。

实体及属性
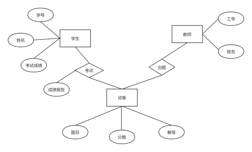
学生 (Student)
学号 (StudentID) - 主键
姓名 (Name)
考试成绩 (ExamScore)
成绩报告 (Report)
教师 (Teacher)
工号 (TeacherID) - 主键
姓名 (Name)
考试 (Exam)
考试ID (ExamID) - 主键
考试名称 (ExamName)
考试时间 (ExamDate)
试卷 (Paper)
试卷ID (PaperID) - 主键
考试ID (ExamID) - 外键,关联到考试
出题教师ID (TeacherID) - 外键,关联到教师
题目 (Question)
题目ID (QuestionID) - 主键
试卷ID (PaperID) - 外键,关联到试卷
分数 (Score)
解答 (Answer)
;
界面结构

导航栏:
左侧有一个导航栏,包含多个功能模块,如“系统管理”、“学生信息”等,方便用户快速访问不同的功能。
功能模块:
在主界面中,显示了“设置考试功能模块”的选项,用户可以在此进行相关设置。
考试信息表格:
表格中列出了考试的相关信息,包括:
试卷:考试的名称或类型。
考试说明:对考试的简要描述。
时间:考试的具体时间。
提醒:与考试相关的提醒信息。
学生信息:与考试相关的学生信息。
生成成绩单:生成学生的成绩单。
操作按钮:
查询:用于查询特定的考试信息。
确认:用于确认所做的设置或操作。
功能概述:
设置考试功能:用户可以通过该模块设置考试的基本信息,包括考试的名称、时间、说明等。
信息管理:系统能够管理和展示与考试相关的所有信息,方便教师和管理员进行查看和操作。

浙公网安备 33010602011771号