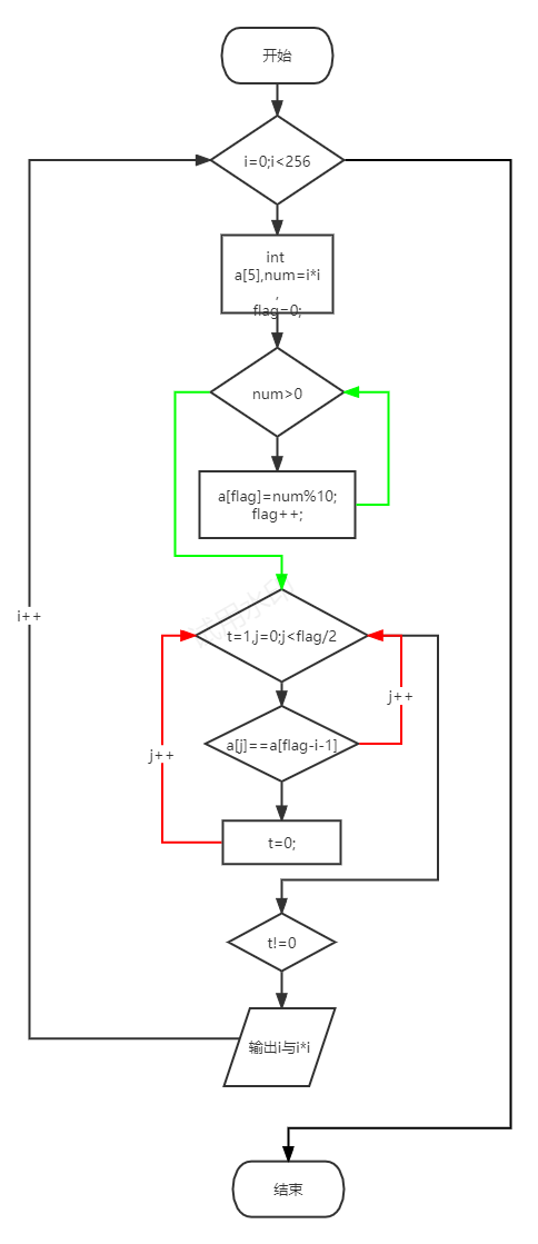
day 25 回文数

1.遍历所有数;
2.用数组储存数据;
3.判断回文

include<iostream>
using namespace std;
int g(int num){
int Num=num*num,flag=0;
int a[5];
for(;Num>0;flag++){
a[flag]=Num%10;
Num/=10;
}
int t=114514;
for(int i=0;i<flag/2;i++){
if(a[i]!=a[flag-i-1]){t=0;}
}
if(t){printf("%d是回文数,平方为%d\n",num,num*num);}
}
int main(){
for(int i=1;i<256;i++)
{
g(i);
}
return 0;
}

浙公网安备 33010602011771号