2022年重庆专升本考试计算机真题及其答案
2022年重庆市普通高校专升本统一选拔考试
大学计算机试题
注意事项:
1. 本试卷来源于无数学而精线下学员以及众本院线上学员的回忆,所以本试卷弥足珍贵请各位同学务必珍惜。
一:选择题(本大题共25小题,每小题2分,共50分)
1. 二进制数 010011010110 B转换为十六进制数是( )。
A. 2B6
B. 4B
C. 4D6
D. 4B6
【参考答案】C
2. 为了解决用户要求存储容量大,速度快,成本低的需要,目前计算机采用高速缓冲存储器、内存储器和外存储器的体系结构,该体系结构是()。
A. 多级存储器结构
B. 固态硬盘阵列结构
C. 机械硬盘阵列结构
D. 流水线存储器结构
【参考答案】A
3. WPS Office 是金山公司发行的一款办公软件,它是集演示表格一体的,它是属于()。
A. 模拟软件
B. 系统软件
C. 应用软件
D. 专用软件
【参考答案】C
4. 在 Word 中可以使用( )功能把所有的软回车变成硬回车。
A. 格式刷
B. 替换
C. 查找
D. 定位
【参考答案】B
5. 在 PowerPoint 中,能够查看多张幻灯片的视图是( )。
A. 普通视图
B. 幻灯片浏览视图
C. 页面视图
D. 阅读视图
【参考答案】B
6. Excel 可以通过自动填充产生有序的数据,包括预定义的序列,等比序列和()。
A. 等差序列
B. 等效序列
C. 等额序列
D. 函数序列
【参考答案】A
7.下面Excel表中,完成某公司奖金的计算,奖金由工资的18%和工龄工资两部分组成,工龄工资为每年10元,应在G2单元格中输入公式( )。

A. =E2*10+F2*0.18
B. =E2+10+F2*0.18
C. =E2*10+F2+0.18
D. =E2+10+F2+0.18
【参考答案】A
8. 以下函数中,可实现统计工资大于 7000 的人数的是()。
A. =COUNTIF(B2:B7,>7000)
B. =COUNTIF(B2:B7, “>7000”)
C. =SUMIF(B2:B7,>7000)
D. =SUMIF(B2:B7, “>7000”)
【参考答案】B
9.对于一个 Excel 表,以下( )可求出奖金排名。

A. =RANK(C2,C2:C10)
B. =RANK($C$2,$C$2:$C$10)
C. =RANK($C$2,C2:C10)
D. =RANK(C2,$C$2:$C$10)
【参考答案】D
10. 下列关于防火墙的描述中不正确的是()。
A. 限制特定端口互联
B. 限制特定 IP 互联
C. 限制 CPU 温度过高
D. 记录网络访问记录
【参考答案】C
11. 在 Windows 操作系统中可用于检测网络是否连通,以及与目标计算机之间连接速度的命令是()。
A. ipconfig
B. netstat
C. ping
D. ifconfig
【参考答案】C
12. 家庭中的路由器一般具有 DHCP 服务,其作用是()。
A. 传输文件
B. 过滤数据
C. 自动分配计算机 IP 地址
D. 记录网络日志
【参考答案】C
13. 下列行政处罚最轻的是()。
A. 警告
B. 罚款
C. 吊销营业执照
D. 拘留
【参考答案】A
14. 在 SQL 语句中,Order By的默认排序方式是()。
A. 升序
B. 降序
C. 无序
D. 有序
【参考答案】A
15. 在如下图所示的数据表中,执行 SQL 语句:Select Sum(INCOME) From A,返回的结果是()。

A. 0
B. 4
C. 200
D. 730
【参考答案】D
16. 根据人的声音频率和实际情况,采样频率最好不能低于()。
A. 22.05KHz
B. 44.1KHz
C. 48.1KHz
D. 96.1KHz
【参考答案】B
17. 视频信息是相关联的图像序列,其最小单位为()。
A. 位
B. 帧
C. 像素
D. 赫兹
【参考答案】B
18. 1000 个有序的数用二分法查找任意一个数最多需要查找()。
A. 5
B. 10
C. 15
D. 20
【参考答案】B
19. 公安局在破某刑事案件时采用了“地毯式“排查,实际上是类似于计算机中的( )算法。
A.枚举法
B.二分法
C.随机法
D.密集查找
【参考答案】A
20. 以下程序设计语言中,可以作为 Web 应用程序脚本语言的是()。
A. JM2E
B. Java Applet
C. JavaScript
D. JE2E
【参考答案】C
21. 关于结构化程序设计的缺点是难以适应大型软件的设计和( )
A.执行速度慢
B.程序可重用性差
C.运行效率低
D. 人机交互差
【参考答案】B
22. 乘客在乘坐公共交通时,使用公交卡支付属于()。
A. RFID 技术
B. 大数据技术
C. 区块链技术
D. 位置服务技术
【参考答案】A
23.数据压缩是指对原始数据进行重新编码,去除原始数据中( )。
A.噪音
B.冗长
C.冗余
D.重复
【参考答案】C
24.在excel单元格中学生的百分比成绩放在B2单元格中,如果成绩大于60分则F2单元格中显示“合格”,否则显示“不合格”,F2单元格中输入公式( )。
A. =IF(B2>=60,“合格”,“不合格”)
B. =IF(B2>60,“合格”,“不合格”)
C. =IF(B2<60,“合格”,“不合格”)
D. =IF(B2<=60,“合格”,“不合格”)
【参考答案】B
25.某数据库中学生数据表包含的字段有:姓名,学号,班级编号,性别,出生日期,专业编号,籍贯。其中可以作为主键的是( )。
A. 姓名
B.学号
C.班级编号
D.专业编号
【参考答案】B
二、案例分析题(本大题共10小题,每小题1分,共10分)
案例 1:世界上已经有很多的公司在使用云数据库了,但为了保证国家信息安全,我国要使用云数据库不应选择 (26) 数据库,若公司想要自行建立一个数据库,为了节省经费,可以直接使用的数据库是(27),在公司内使用数据库若想减少维护应该选用(28)方式,若最后要对用户使用的界面进行编辑,这属于 (29) ,若要对逻辑处理和数据库管理,这应该属于 (30) 。
26. A. 阿里云 B. 腾讯云 C. 谷歌云 D. 华为云
【参考答案】C
27. A. Access B. MySQL C. SQL Server D. Oracle
【参考答案】B
28. A. C/S B. B/S C. A/S D. E/S
【参考答案】B
29. A. 前端设计 B. 后端设计 C. 安全设计 D. 美化设计
【参考答案】A
30. A. 前端设计 B. 后端设计 C. 安全设计 D. 美化设计
【参考答案】B
案例 2:某网站的网址是 http://www.baidu.com,该网站所使用服务器类型应该是 (31) ,
该网站的主机名是 (32) ,其默认的端口号应该是 (33) ,该网站的网页是通过(34) 语言编写的,重庆政府网的网址是 (35) 。
31. A. www
B. web
C. ftp
D. 数据库
【参考答案】B
32. A. www.baidu.com
B. www
C. baidu
D. com
【参考答案】B
33. A. 21
B. 25
C. 80
D. 8080
【参考答案】C
34. A.HTTP
B.FTP
C. HTML
D. DNS
【参考答案】C
35. A. www.cq.gov.cn
B. www.cq.edu.cn
C. www.cq.com.cn
D. www.cq.org.cn
【参考答案】A
三、填空题(本大题共10小题,每小题2分,共20分)
36. CPU可以( )访问内存储器。
【参考答案】直接
37. Android 是一种基于 Linux 的自由及开放源代码的操作系统,主要使用于( ),如智能手机和平板电脑。
【参考答案】移动设备
38. 在 PowerPoint 中,讲义最多可以打印( )张幻灯片。
【参考答案】9 张
39. 在默认情况下,WPS 中文字默认扩展名是( )。
【参考答案】.wps
40. 在 TCP/IP 协议中,实现可靠连接的是( )协议。
【参考答案】TCP
41. 在数据库SQL语句中,AGE>=18 AND AGE<=24 可写成AGE( ) 18 AND 24。
【参考答案】BETWEEN
42. 一个完整的多媒体系统由多媒体硬件和多媒体( )系统组成。
【参考答案】软件
43. 如下图所示流程图可用来计算一元二次方程 ax2+bx+c=0 的实数根,其中 a(a≠0),b,c 为已知,则流程图中①处应该填写。

【参考答案】d > 0
44. 虚拟现实的基本特征是沉浸性、交互性和想象性,其英文简称是( )。
【参考答案】VR
45. 数据不容易丢失属于云计算的( )特点。
【参考答案】高可靠性
四、综合题(本大题共8小题,每小题5分,共40分)
46. 某学校购买了一批电脑,配置是4核CPU、2GB内存、1TB的机械硬盘。为优化系统请回答:
(1)计算机系统由哪两部分组成?写出两者之间的关系。
(2)加装什么硬件?提高系统性能。
(3)请列举一款国产办公软件。
【参考答案】
(1)一个完整的计算机系统由硬件系统和软件系统组成。计算机硬件是计算机系统中由电子、机械和光电元件组成的各种计算机部件和设备的总称,是计算机完成各项工作的物质基础。而计算机软件则是在计算机硬件设备上运行的各种程序及其相关文档和数据的总称,用于指计算机系统按要求进行工作。计算机系统的硬件是软件建立和依托的基础,软件是计算机系统的灵魂。而没有硬件对于软件的物质支持,软件则无法运行。
(2)加装核心数更高的CPU,加装内存条,1TB机械硬盘升级成1TB的固态硬盘SSD。
(3)金山WPS、钉钉、企业微信、有道云笔记、迅捷PDF。(选择其中一个即可)
47. 已知某主机的网络配置信息如下所示。
IP 地址:192.168.123.16 子网掩码:255.255.255.0
默认网关:192.168.123.1 DNS 服务器地址:61.128.128.68
请完成以下问题。
(1)DNS 的中文名是。
(2)MAC 地址是位二进制数。
(3)无线路由器的地址是。
(4)该主机的网段是。
(5)IPv6 地址采用位二进制数。
【参考答案】
(1)域名系统 (2)48 (3)192.168.123.1 (4)192.168.123.0 (5)128
48. 要在 Access 数据库中创建如下数据表,请补全该表中空白部分。数据类型是否为主键
|
数据类型 |
是否为主键 |
|
|
学号 |
||
|
姓名 |
||
|
外语成绩 |
||
|
数学成绩 |
||
|
是否及格 |
【参考答案】
|
数据类型 |
是否为主键 |
|
|
学号 |
文本型 或 text |
是 |
|
姓名 |
文本型 或 text |
否 |
|
外语成绩 |
数字型 或 number 或 数值型 |
否 |
|
数学成绩 |
数字型 或 number 或 数值型 |
否 |
|
是否及格 |
是/否型 或 yes/no True/false 或逻辑型 或布尔型 |
否 |
49. 已知标准体重(kg)=身高(cm)- 105,人的体重在标准体重的±10%以内属于正常,超过标准体重的 10%是偏胖,低于 10%是偏瘦。请绘制算法流程图,实现输入一个人的身高和体重,输出其体重类型(偏胖、偏瘦或正常)。
【参考答案】

50. 已知 Sn = 1+2+3+4+5+…+n,绘制算法流程图,输当 Sn>1000 时 n 的值。
【参考答案】

51. 如图所示的直角坐标系中有一个半径为 R 的圆,请补全如下列流程图,输出直角坐标系中某一个点(x,y)是否在该圆内。请回答下列问题。


(1)①
(2)②
(3)③
(4)该算法流程图采用的结构是。
【参考答案】
(1)x * x + y * y < R * R 或 pow(x,2) + pow(y,2) <pow(R,2) 或 x2+y2<R2 或
<R
(2)print“在圆内” 或 输出 在圆内
(3)print“不在圆内” 或 输出 不在圆内
(4)选择结构
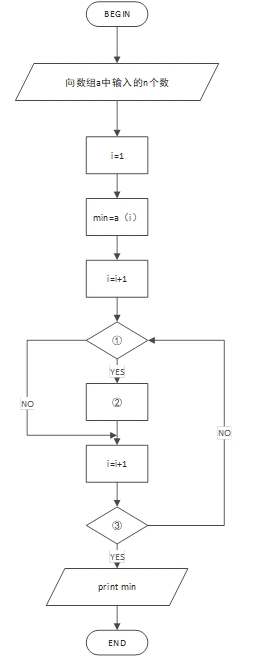
52.从键盘上向数组a中输入n个数,输出该数组的最小值,请补全如下流程图。

(1)①
(2)②
(3)③
【参考答案】
(1)a(i)<min 或 min>a(i) 或 a[i]<min 或 min>a[i]
(2)min=a(i) 或 min=a[i] (=号也可以使用←)
(3)i>n或n<i
53. 有如下图所示的两张 Excel 表格。请根据表格回答以下问题。
(1)平时成绩可通过考勤表获取,则平时成绩的第一个单元格应该使用的公式是。
(2)写出在 G2 中求总成绩的公式。
(3)若要将计算出的总成绩四舍五入并保留整数,可以使用函数。
(4)若要求平时成绩的平均成绩,可以在 D5 中输入公式。
(5)若要获得所有的平均成绩,可以通过将函数复制到其他单元格。
【参考答案】
(1)=考勤表!C2
(2)=D2*0.2+E2*0.2+F2*0.6
或 =D2*20%+E2*20%+F2*60%
(3)round
(4)=AVERAGE(D2:D4)
(5)自动填充 或 填充柄



浙公网安备 33010602011771号