在数据库中,除传统的计算资源(如CPU、RAM、I/O等)的争用以外,数据也是一种供许多用户共享的资源。为保证数据的一致性,需要对并发操作进行控制,因此产生了锁。同时锁机制也为实现MySQL的各个隔离级别提供了保证。锁冲突也是影响数据库并发访问性能的一个重要因素。所以锁对数据库而言显得尤其重要,也更加复杂
读-读情况,即并发事务相继读取相同的记录。读取操作本身不会对记录有任何影响,并不会引起什么问题,所以允许议种情况的发生
写-写情况,即并发事务相继对相同的记录做出改动。
在这种情况下会发生脏写的问题,任何一种隔离级别都不允许这种问题的发生。所以在多个未提交事务相继对一条记录做改动时,需要让它们排队执行,这个排队的过程其实是通过锁来实现的。
这个所谓的锁其实是一个内存中的结构,在事务执行前本来是没有锁的,也就是说一开始是没有锁结构和记录进行关联的
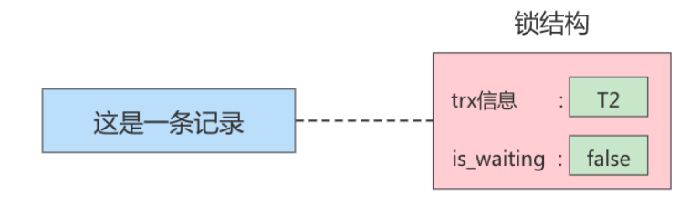
当一个事务想对这条记录做改动时,首先会看看内存中有没有与这条记录关联的 锁结构 ,当没有的时候就会在内存中生成一个 锁结构 与之关联。比如,事务 T1 要对这条记录做改动,
就需要生成一个 锁结构与之关联
trx信息:代表这个锁结构是哪个事务生成的。
is_waiting:代表当前事务是否在等待。

当事务T1改动了这条记录后,就生成了一个锁结构与该记录关联,因为之前没有别的事务为这条记录加锁,所以is_waiting属性就是false,我们把这个场景就称之为获取锁成功,
或者加锁成功,然后就可以继续执行操作了。
在事务T1提交之前,另一个事务T2也想对该记录做改动,那么先看看有没有锁结构与这条记录关联,发现有一个锁结构与之关联后,然后也生成了一个锁结构与这条记录关联,
不过锁结构的is_waiting属性值为true,表示当前事务需要等待,我们把这个场景就称之为获取锁失败,或者加锁失败

在事务T1提交之后,就会把该事务生成的锁结构释放掉,然后看看还有没有别的事务在等待获取锁,发现了事务T2还在等待获取锁,所以把事务T2对应的锁结构的is_waiting属性设置为false,
然后把该事务对应的线程唤醒,让它继续执行,此时事务T2就算获取到锁了

读-写或写-读,即一个事务进行读取操作,另一个进行改动操作。这种情况下可能发生脏读、不可重复读、幻读的问题
方案一:MVCC
读操作利用多版本并发控制(MVCC),写操作进行加锁。
所谓的MVCC,就是生成一个ReadView,通过ReadView找到符合条件的记录版本(历史版本由undo日志构建)。查询语句只能读到在生成ReadView之前己提交事务所做的更改,
在生成ReadView之前未提交的事务或者之后才开启的事务所做的更改是看不到的。而写操作肯定针对的是最新版本的记录,读记录的历史版本和改动记录的最新版本本身并不冲突,
也就是采用MVCC时,读-写操作并不冲突。
普通的SELECT语句在READ COMMITTED和REPEATABLE READ隔离级别下会使用到MVCC读取记录。
在READ COMMITTED隔离级别下,一个事务在执行过程中每次执行SELECT操作时都会生成一个ReadView,ReadView的存在本身就保证了事务不可以读取到未提交的事务所做的更改,
也就是避免了脏读现象;
在REPEATABLE READ隔离级别下,一个事务在执行过程中只有第一次执行SELECT操作才会生成一个ReadView,之后的SELECT操作都复用这个ReadView,这样也就避免了不可重复读和幻读的问题。
方案二:读、写操作都采用加锁的方式
如果我们的一些业务场景不允许读取记录的旧版本,而是每次都必须去读取记录的最新版本。比如,在银行存款的事务中,你需要先把账户的余额读出来,然后将其加上本次存款的数额,
最后再写到数据库中。在将账户余额读取出来后,就不想让别的事务再访问该余额,直到本次存款事务执行完成,其他事务才可以访问账户的余额。这样在读取记录的时候就需要对其进行
加锁操作,这样也就意味着读操作和写操作也像写-写操作那样排队执行。
脏读的产生是因为当前事务读取了另一个未提交事务写的一条记录,如果另一个事务在写记录的时候就给这条记录加锁,那么当前事务就无法继续读取该记录了,所以也就不会有脏读问题的产生了。
不可重复读的产生是因为当前事务先读取一条记录,另外一个事务对该记录做了改动之后并提交之后,当前事务再次读取时会获得不同的值,如果在当前事务读取记录时就给该记录加锁,
那么另一个事务就无法修改该记录,自然也不会发生不可重复读了。
幻读问题的产生是因为当前事务读取了一个范围的记录,然后另外的事务向该范围内插入了新记录,当前事务再次读取该范围的记录时发现了新插入的新记录。采用加锁的方式解决幻读问题
就有一些麻烦,因为当前事务在第一次读取记录时幻影记录并不存在,所以读取的时候加锁就有点尴尬(因为你并不知道给谁加锁)
采用MVCC方式的话,读-写操作彼此并不冲突,性能更高。
采用加锁方式的话,读-写操作彼此需要排队执行,影响性能