第三课 反向传播与神经网络
对于文本标注问题,如果不适用BERT,而是使用一般神经网络,那么应该长成下面这个样子

复习一下典型的神经网络反向传播的过程中求导的步骤

那个小圆圈是哈达姆积,想一下为什么可以这么转换
然后来看一下\(\frac{\partial{s}}{\partial{W}}\),如下

所以我们不必进行重复运算,直接用一个变量存储下来


这里最终答案的形状很奇怪,是因为他跟我们的约定不同,我们就按照李沐的约定,最后算出来应该是\(x\delta\)(注意\(\delta\)是一个行向量)
虽然我们可以直接得到\(\frac{\partial{z}}{\partial{W}}=x\)然后再去调整形状,但是我们可以去认真计算一下前者到底为什么,如下

由于\(\frac{\partial{z}}{\partial{W}}∈\mathbb{R}^{n\times m\times n}\),通过上面的计算我们可以想象出来这个立方体:俯视这个立方体,一共有\(n\)层,每一层都是一个\(m\times n\)的矩阵,第\(i\)层的矩阵的第\(i\)列为\(x\),剩余元素都是\(0\);那么\(\delta∈\mathbb{R}^{1\times n}\),这两者怎么相乘呢?实际上,类比矩阵乘法,有\(\delta\frac{\partial{z}}{\partial{W}}∈\mathbb{R}^{1\times m\times n}\)(所以其实我们的答案最终是一个三维的张量);具体来说,类比矩阵乘法,\(\delta_i\)与\(\frac{\partial{z}}{\partial{W}}\)的第\(i\)层矩阵相乘(这里广播一下),然后最终加起来(注意矩阵乘法在元素相乘之后也是加起来),就跟我们的答案一模一样了
那么上面是数学推导的过程,在代码中我们要求维度匹配(或至少能够广播),这就与我们的数学推导不一样,这时不要担心,我们就按照平常的推导方法,最后来调整梯度就好了
举一个计算图的例子

注意\(b\)也是一个二元函数,将\(\max\)符号打开就可以写出梯度了;最后的结果说明了\(x,y,z\)的微小改变量会对结果造成什么影响
提到了计算图,我们为什么要用计算图呢?这是为了节省计算开支。由于计算图是一个DAG,我们就可以存储中间变量(就像我们之前的推导令\(\delta\)一样),利用类似动态规划的过程计算梯度,而不是每计算一个梯度就要重头开始算起。对于一个节点,伪代码如下

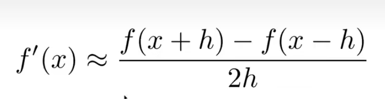
我们现在一般都是用Pytorch,所以对检查梯度的需求比较小。但是有些时候如果我们想要自己实现一些层的话,我们可能会想写一写梯度检查的函数,这个时候我们的估计就要如下

而不是使用我们高中的那种导数定义(单向的)。因为事实证明,双向的极限估计比单向的极限估计更加准确

浙公网安备 33010602011771号