MySQL 基础优化
索引及执行计划
1. MySQL索引介绍
1.1 索引是什么?
相当于一本书中的目录。帮助我们快速找到需要内容的页码。
索引可以帮我们快速找到所需要行的数据页码。起到优化查询的功能。
1.2 MySQL索引类型
Btree 索引 *****
Rtree 索引
HASH 索引
Fulltext 全文索引
GIS 地理位置索引
2. B+Tree 结构
2.1 介绍
遍历 -----> 二叉树 -----> 平衡二叉树 -----> Balance Tree
2.2 Btree查找算法引入
2.3 Btree种类
B-Tree -----> B+Tree -----> B*Tree
3. MySQL B+Tree索引构建过程(InnoDB独有)
3.1 聚簇索引BTREE结构
3.1.1 簇
区 extent ======> 簇 ======> 64个pages ====> 1M
3.1.2 作用:
有了聚簇索引之后,将来插入的数据行,在同一个区内,都会按照ID值的顺序,有序在磁盘存储数据。
MySQL InnoDB 表 聚簇索引组织存储数据表。
3.1.3 构建前提:
1. 建表时,指定了主键列,MySQL InnoDB 会将主键作为聚簇索引索引列,比如ID not null primary key 2. 没有指定主键,自动选择唯一键(unique)的列,作为聚簇索引。 3. 以上都没有,生成隐藏聚簇索引。 作用: 有了聚簇索引之后,将来插入的数据行,在同一个区内,都会按照ID值的顺序,有序在磁盘存储数据。
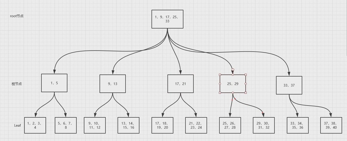
3.1.4 画图说明,聚簇索引 Btree构建过程
3.2 辅助索引BTREE结构
3.2.1 说明
使用普通列作为条件构建的索引。需要人为创建。
3.2.2 作用:
优化非聚簇索引之外的查询条件的优化。
3.2.3 画图说明,辅助索引 Btree构建过程
3.2.4 辅助索引的细节
(1)单列索引 (2)联合索引 说明:使用多列组合一个索引。 联合索引,注意最左原则。 1. 查询条件中,必须要包含最左列,上面例子就是a列 2. 建立联合索引时,一定要选择重复值少的列,作为最左列。 例如: idx(a,b,c) ----> a ab abc 全部覆盖: select * from t1 where a= and b= and c= select * from t1 where a in and b in and c in select * from t1 where b= and c= and a= select * from t1 where a and b order by c 部分覆盖: select * from t1 where a= and b= select * from t1 where a= select * from t1 where a= and c= select * from t1 where a= and b> < >= like and c= select xxx from t1 where a order by c 不覆盖: bc b c (3)前缀索引 前缀索引是针对于,我们所选择的索引列值长度,会导致索引树高度增高。 所以可以选择大字段的前面部分字符作为索引生成条件。 会导致索引应用时,需要读取更多的索引数据页 MySQL中建议索引树高度3-4层。
4. B+Tree索引树高度影响因素
1. 索引字段较长 : 前缀索引 2. 数据行过多 : 分区表, 归档表(pt-archive),分布式架构(大企业) 3. 数据类型 : 选择合适的数据类型。
5. 索引的管理命令
5.1 什么时候创建索引?
按照业务语句的需求创建合适的索引。 并不是将所有列都建立索引。不是索引越多越好。 将索引建立在,经常 where group by order by join on ......的条件 为什么不能乱建索引, 1. 如果冗余索引过多,表的数据变化的时候,很有可能会导致索引频繁更新。会阻塞很多正常的业务更新的请求。 2. 索引过多,会导致优化器选择出现偏差。
5.2 管理命令
1. 查询表的索引情况 mysql> desc city; key: PRI聚簇索引 MUL辅助索引 UNI唯一索引 mysql> show index from city;
2. 建立索引: 分析业务语句: mysql> select * from city where name='wuhan'; mysql> alter table city add index idx_na(name); : 单列索引 mysql> alter table city add index idx_n_c(name,countrycode); : 联合索引 mysql> alter table city add index idx_d(district(5)); : 前缀索引 mysql> show index from city; mysql> desc city;
3. 删除索引 mysql> alter table city drop index idx_na; mysql> alter table city drop index idx_n_c; mysql> alter table city drop index idx_d; mysql> desc city;
5.3 压力测试
1. 导入100w的测试表 source t100w.sql 2. 压测命令:未建立索引 mysqlslap --defaults-file=/etc/my.cnf \ --concurrency=100 --iterations=1 --create-schema='test' \ --query="select * from test.t100w where k2='780p'" engine=innodb \ --number-of-queries=200 -uroot -pmysql -verbose [root@db01 ~]$ mysqlslap --defaults-file=/etc/my.cnf \ > --concurrency=100 --iterations=1 --create-schema='test' \ > --query="select * from test.t100w where k2='780p'" engine=innodb \ > --number-of-queries=200 -uroot -pmysql -verbose mysqlslap: [Warning] Using a password on the command line interface can be insecure. Benchmark Running for engine rbose Average number of seconds to run all queries: 118.578 seconds Minimum number of seconds to run all queries: 118.578 seconds Maximum number of seconds to run all queries: 118.578 seconds Number of clients running queries: 100 Average number of queries per client: 2 3. 建立合适索引 mysql> use test mysql> alter table t100w add index idx_k2(k2); 4. 再次压力测试 mysqlslap --defaults-file=/etc/my.cnf \ --concurrency=100 --iterations=1 --create-schema='test' \ --query="select * from test.t100w where k2='780p'" engine=innodb \ --number-of-queries=200 -uroot -pmysql -verbose [root@db01 ~]$ mysqlslap --defaults-file=/etc/my.cnf \ > --concurrency=100 --iterations=1 --create-schema='test' \ > --query="select * from test.t100w where k2='780p'" engine=innodb \ > --number-of-queries=200 -uroot -pmysql -verbose mysqlslap: [Warning] Using a password on the command line interface can be insecure. Benchmark Running for engine rbose Average number of seconds to run all queries: 2.035 seconds Minimum number of seconds to run all queries: 2.035 seconds Maximum number of seconds to run all queries: 2.035 seconds Number of clients running queries: 100 Average number of queries per client: 2
6. 执行计划分析
7. 索引应用规范
8.
面试题:
更新数据时,会对索引有影响吗,数据的变化会使索引实时更新吗
比如insert,update,delete 一行数据。
对于聚簇索引,会立即更新。
对于辅助索引,不是实时更新的。
在InnoDB 内存结构中,加入了insert buffer(会话),现在版本叫change
change buffer 功能是临时缓存辅助索引需要的数据更新。
当我们需要查询新insert的数据,会在内存中进行merge(合并)操作,此时辅助索引就是最新的。
双11的时候,并发度太高,提前1-2周将热点商品数据,提前灌入到Tair(redis,memcached)集群中
============================================================================================================

浙公网安备 33010602011771号