会员
周边
新闻
博问
闪存
众包
赞助商
Chat2DB
所有博客
当前博客
我的博客
我的园子
账号设置
会员中心
简洁模式
...
退出登录
注册
登录
DH小谦
拧扳子里代码*的最多的,*代码中账算得最快的,算账的人中扳子拧的最溜的人。
博客园
首页
新随笔
联系
订阅
管理
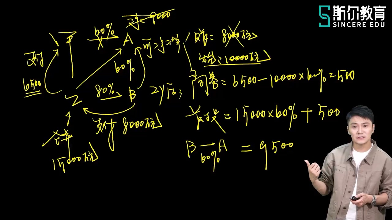
非同控到同控,长投及商誉的计算
posted @
2022-04-18 10:44
DH小谦
阅读(
3
) 评论(
0
)
收藏
举报
刷新页面
返回顶部
公告